Supongo que todos tenemos nuestra opinión sobre cuál es la mejor bebida para quitar la sed y mejorar la hidratación, por experiencia personal o artículos que hayamos leído. Incluso estoy convencido que muchos estarán pensando en una cerveza fría por todo el marketing invertido sobre esta idea (articulo).
Algo parecido debió pensar el Dr. Maugham cuando decidió realizar una investigación en la que de manera científica quería comprobar el efecto de 12 bebidas comunes utilizadas para este fin en 72 sujetos.
Para realizar este estudio se creó un protocolo en el que trataban de definir un índice de hidratación por bebida. En el que se ingerían 1litro de bebida durante 30min tras haber permanecido en ayunas al menos 8h (para evitar interferencias con alimentos) y se realizaba un análisis previo de la osmolaridad en sangre y en orina. Después se controlaba la retención de líquidos de cada sujeto con pequeñas muestras de sangre y de orina cada hora, durante las 4h siguientes al protocolo.
Todas las bebidas eran servidas a la misma temperatura (4-6ºC), excepto dos de ellas servidas a 60ºC.
- Agua mineral
- Agua con gas
- Bebida de cola
- Bebida de cola light
- Bebida deportiva comercial
- Zumo de naranja
- Cerveza
- Café (caliente)
- Te (caliente)
- Te frio
- Leche desnatada
- Leche entera
Se realizo una comparativa con el patrón de referencia que es el suero oral
El resultado está muy relacionado con la osmolaridad, pero sabéis quien es el ganador….

La bebida que mejor hidratación produce es la LECHE. A pesar de ser la bebida que menos cantidad de agua tiene (88% la leche entera).
Tenemos en primer lugar a la leche desnatada, después la leche entera y en tercer lugar al zumo de naranja.
Sin embargo, las bebidas que contienen alcohol y cafeína son las peor paradas (café y cerveza). La cerveza (con un 4% alcohol) provocó un aumento de la diuresis de un 12% respecto al resto de bebidas.
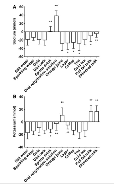
Al parecer la cantidad y balance de sodio y potasio que tienen las bebidas es la principal cualidad para que una bebida sea rehidratante, minerales muy importantes para la salud como ya vimos en otra entrada. Como vemos en este gráfico el potasio de la leche y el zumo parece que tiene mucha importancia en esta capacidad de rehidratación

Las bebidas con mayor contenido energético implican un vaciado gástrico más lento, por lo que, si necesitamos una rehidratación muy rápida la leche entera (640kcal/L), zumo de naranja (470kcal/L) y bebida de cola (420kcal/L) no son las mejores opciones.
En este caso a pesar de su contenido energético de 350kcal/L la leche desnatada en la valoración realizada a las 2h obtuvo incluso mejores resultados que el suero oral.
BEBIDA PARA RECUPERAR
Si además de la hidratación tenemos en cuenta un aspecto fundamental en la recuperación que es la reposición de los depósitos de glucógeno y aporte de proteínas para favorecer la síntesis de tejido muscular nos encontramos con la bebida perfecta post-ejercicio.
Se ha demostrado que la ingestión de leche atenúa el daño y dolor muscular (estudio), aumenta la capacidad de realizar sprints repetidos (estudio), incrementa la recuperación de fuerza y capacidad de salto (estudio)
En este caso puede ser incluso un gran competidor (en precio sin duda) de muchos de los productos “recovery” de diferentes marcas (estudio).
En hidratación sabemos que la leche es ganadora, pero en cuanto a proteínas podemos ver que la mayoría de marcas utilizan proteína de suero hidrolizada, perfecta como rápida asimilación. La leche tiene una combinación de suero (aprox 20%) y el resto caseína (absorción lenta). Se ha demostrado que esta combinación es la que ofrece la mejor calidad nutricional con un efecto sinérgico entre ambas (estudio)
Incluso en la disponibilidad de HC es en muchos casos mejor si además de leche mezclamos con algún tipo de fruta o batido de chocolate, por la combinación de sacarosa (fructosa + glucosa) y lactosa (galactosa + glucosa). Esto implica mayor capacidad en la combinación de reposición glucógeno muscular y hepático (estudio) que si el producto solo utiliza un tipo de HC (dextrosa suele ser lo más habitual).
El ratio ideal en cuanto a recuperación total es de una mayor cantidad de HC que de proteína, con ratios de 4:1 o 3:1

CONCLUSIONES
He participado durante muchos años en pruebas de corta y larga distancia, en modalidad de ciclismo, triatlón, carrera de montaña, etc. pero nunca me han ofrecido leche para mejorar la recuperación tras una competición y parece que sería la mejor opción
Espero que pronto se haga popular y sea una más de las bebidas que se ofrezcan como avituallamiento post-meta o al menos la utilicemos de forma individual como deportistas. Pienso que es perfecta cuando se toma en forma de batido (fruta o chocolate) para pruebas por etapas.
Espero que ahora me entiendan mejor cuando me pido un buen batido en pleno verano en una terraza y no otras bebidas mucho menos hidratantes.
3 comentarios sobre “La mejor bebida para aumentar la hidratación”