La p-sinefrina es el principal ingrediente activo encontrado en Citrus aurantium, popularmente conocido como Naranja Amarga y otros cítricos como la naranja de Sevilla. Su contenido puede variar, pero es muy difícil superar el 5% de su peso. La concentración varia según la forma utilizada:
- 0,020% de p-sinefrina en la fruta fresca
- 0,352% en la fruta seca
- 3% en extracto de fruta seca
Cuenta con una larga tradición en la medicina china con el nombre de “Zhi Shi” debido a otros compuestos como flavonas o caronotenoides y múltiples beneficios como: mejora la congestión nasal, alivia problemas digestivos, permite paliar efectos de ansiedad y depresión o incluso ayuda a luchar contra el insomnio (libro)

Es un compuesto químico de origen natural que posee rasgos estructurales muy semejantes a las catecolaminas (adrenalina y noradrenalina) que implican una activación del sistema nervioso simpático preparando el cuerpo para la actividad.
DIFERENTES TIPOS DE SINEFRINA
Existe una controversia importante entre la p-sinefrina y la m-sinefrina (compuesto sintético) por tener una composición muy similar, pero realmente son sustancias con efectos diferentes. La m-sinefrina tiene efectos muy similares a sustancias estimulantes como la pseudoefedrina, efedrina o incluso anfetaminas, las cuales están prohibidas por la agencia mundial antidopaje desde 2004.
Los efectos de estas sustancias prohibidas son importantes en la activación del sistema nervioso, retraso de fatiga, mejora de la capacidad respiratoria o acelera el metabolismo (acelerando la pérdida de peso). Pero también tienen efectos secundarios importantes como taquicardia, incremento de tensión arterial, cefaleas, ansiedad, etc.
Sin embargo, la p-sinefrina funciona de manera diferente y solo actúa sobre los receptores beta-3 (situados principalmente en el tejido adiposo) que tienen una relación directa con la lipólisis. Actúan descomponiendo los ácidos grasos libres en sangre para ser usados como sustrato energético durante el ejercicio (estudio). Mientras que las otras sustancias prohibidas lo hacen también sobre receptores alfa y beta 1 y 2 con mayores efectos al influenciar la FC y la tensión arterial.
- Receptores alfa: provocan vasoconstricción del músculo liso, incluyendo los vasos capilares que incrementan la presión sanguínea.
- Receptores beta 1 y 2: favorecen la broncodilatación, incremento de la FC y la dilatación del vaso de miocardio, así como de la musculatura esquelética, su excitación excesiva puede acarrear problemas de salud.
- Receptores beta 3 (donde actúa la sinefrina) incrementan de forma selectiva la liberación de los ácidos grasos y triglicéridos del tejido adiposo aumentando la lipolisis (liberación de ácidos grasos al torrente sanguíneo).
BENEFICIOS DE LA P-SINEFRINA EN EL DEPORTE
A pesar de comercializarse como un producto acelerador del metabolismo y “quema-grasa”, como hemos visto, debido a la activación exclusiva de los receptores beta 3 no tendrá ese efecto. Incluso ni en oxidación de grasa en reposo, por lo que no parece ser un buen suplemento para sujetos sedentarios (estudio).
Tampoco en mejoras de la función cognitiva o resistencia muscular (estudio) o incrementando la capacidad de salto o sprint (estudio).
Sin embargo, sí parece ser un suplemento efectivo a intensidades bajas y moderadas en el incremento de oxidación de grasas y de ahorro de glucógeno al comparar dosis sintéticas de 3mg/kg de peso corporal p-sinefrina frente a placebo. A pesar de que el Fat Max se mantenía a la misma intensidad, las diferencias eran importantes con 0,29g/min en placebo y 0,40g/min con p-sinefrina (estudio)

Los mismos autores pudieron demostrar que en un trabajo continuo de 1h en zona de Fat max la oxidación de grasa era superior al ingerir 3mg/kg peso mediante calorimetría indirecta. A pesar de que el gasto energético se mantuvo sin cambios, la oxidación de grasas incremento de 33,6gr a 37,3gr durante la hora completa, mientras que la oxidación de carbohidratos fue reducida de 99,5gr a 85,0gr (estudio)

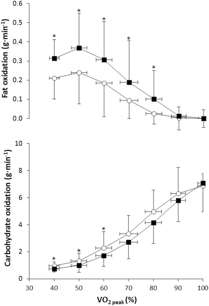
Y una de las mejores noticias es que este suplemento esta probado con ciclistas de alto nivel con un VO2max medio superior a los 75ml/kg/min (equipo completo Filial Caja Rural Seguros RGA) y también funciona. Algo que en muchos otros suplementos no ocurre y cuanto mayor es el nivel del deportista menores son los beneficios. En este estudio , en el cual pude participar, utilizamos la misma dosis de 3mg/kg peso corporal, realizando dos pruebas de esfuerzo completas en días diferentes en la que los ciclistas ingerían un comprimido, siendo uno de p-sinefrina y otro placebo a doble ciego. Los resultados fueron muy similares a los conseguidos con deportistas recreacionales, consiguiendo incrementar la oxidación de grasa desde el 45% al 85% del VO2max
Otra reciente línea de investigación es con la resistencia muscular y en este estudio se ha podido comprobar que 100mg de p-sinefrina aumentan la cantidad de repeticiones realizadas, disminuyendo el lactato sanguíneo y la percepción de esfuerzo. Si además sumamos cafeína se mantendrán las repeteciones y carga, pero incrementando la potencia en las repeticiones.
Según algunos artículos la combinación de p-sinefrina con cafeína no incrementa la oxidación de grasa de forma adicional (estudio), ni siquiera en la lipolisis midiendo ácidos grasos libres en sangre (estudio).
P-SINEFRINA SUPLEMENTO SEGURO Y DOSIS
Existen poco más de 30 publicaciones sobre la p-sinefrina en humanos, pero muchas más de la sinefrina en general. La mayoría de los investigadores que reportaron efectos adversos por la suplementación de sinefrina no aclararon las sutiles diferencias en las estructuras químicas y las propiedades de unión a los receptores de los dos compuestos y que, a diferencia de la efedrina o m-sinefrina, la p-sinefrina no provocaba ningún efecto adverso en las dosis de uso común de hasta 3mg/kg de peso corporal (estudio). Estas dosis dependen de su origen, ya que la versión sintética ejerce aproximadamente la mitad de la actividad de origen p-sinefrina natural (estudio).
Si decidimos utilizar la versión natural podemos encontrarla comercializada como p-sinefrina o como extracto de citrus aurantium (cada 100-200mg proporcionan entre 6 y 40gr de p-sinefrina). En deportistas es preferible utilizar solo p-sinefrina, ya que el citrus aurantium tiene otros alcaloides en pequeña cantidad y uno de ellos, la octopamina, puede dar positivo en un control antidoping.
En el caso de p-sinefrina sintética parece que las dosis más indicadas para aumentar al máximo los efectos en la utilización de grasas es de 2 a 3mg/kg de peso corporal, siendo dosis de 1mg/kg o inferiores menos efectivas (estudio)

RESUMEN:
- La p-sinefrina es un suplemento natural sin efectos secundarios, incluso con dosis elevadas. Pero conseguir dosis eficaces para el aumento de oxidación de grasa mediante el consumo de fruta es imposible ya que además de encontrarse fundamentalmente en la cáscara, deberíamos consumir unos 5kg de naranja amarga para obtener 100mg de p-sinefrina
- Es importante diferenciar la p-sinefrina (segura) de la m-sinefrina (doping) con efectos secundarios importantes sobre la tensión arterial y la frecuencia cardiaca
- Tratar de perder grasa con este suplemento y no hacer ejercicio no tendrá ningún efecto, es suplemento que incrementa la lipolisis (liberación de ácidos grasos a sangre), pero esto no sirve de nada si no la utilizamos
- Si queremos incrementar el consumo de grasa puede utilizarse en entrenamientos de intensidades bajas/moderadas acelerando la disminución del % de grasa
- En caso de realizar competiciones de larga duración (pruebas de más de 6h) puede ser un buen aliado ayudando a ahorrar glucógeno y mejorar el rendimiento. En este caso utilizar dosis de 2 a 3mg/kg de peso, puede ser la mitad de esta dosis si es de origen totalmente natural
- La combinación de p-sinefrina con cafeína no supondrá una mayor oxidación de grasa, pero si de retraso de fatiga y resistencia muscular, por lo que puede ser un buen aliado en competiciones exigentes. Misma dosis de p-sinefrina que de cafeína
2 comentarios sobre “Incremento de oxidación de grasas con p-Sinefrina”