Destacada

Flexibilidad metabólica, un gran marcador de salud

Cuando queremos conocer nuestro estado de salud solemos utilizar una revisión médica que incluye tensión arterial, frecuencia cardíaca, IMC, % de grasa y analíticas para controlar los niveles de azúcar, triglicéridos, transaminasas y colesterol. Incluso algunas veces hasta espirometría y electrocardiograma en reposo.

Sin embargo, cada vez se está reconociendo más la importancia de un alto VO2max como primer diagnóstico de buena salud y longevidad (estudio), muy por encima de las anteriores valoraciones.  Incluso la American Heart Assotiation considera necesario realizar una prueba del esfuerzo al año y considera la valoración del VO2max “gold standard” de la salud.

Del Consumo máximo de oxígeno hablamos en otra entrada desde el enfoque del rendimiento, pero según las últimas investigaciones obtener un valor elevado supone ausencia de enfermedad y un seguro de futuro en la salud (estudio). Incluso en estudios longitudinales se ha podido comprobar que un incremento de solo 1ml/kg/min suponen una reducción de la mortalidad por cualquier causa del 11%, de un 15% por enfermedades cardiovasculares y de un 16% por cáncer (estudio). La tasa de supervivencia en un evento grave (accidente laboral, trafico, etc.) es mucho mayor para los que tienen mayor eficacia metabólica.

En una reciente investigación se ha dado una referencia de predicción de VO2max ajustada a la edad y al peso (estudio). Por lo que si estas por encima de esta media tienes un seguro de salud muy importante

Flexibilidad metabólica

Cuando las mitocondrias no funcionan correctamente producen mayor cantidad de radicales libres y esto produce problemas serios de salud. Pero uno de los primeros síntomas es la escasa capacidad de producir energía (disminución de VO2max) y la limitada capacidad para utilizar los nutrientes que nos sirven como fuente de energía (glucosa y ácidos grasos fundamentalmente).

Cada vez utilizaremos más este relativamente nuevo concepto denominado “flexibilidad metabólica”, que significa la capacidad de responder o adaptarse los cambios condicionales en la demanda metabólica. Es decir, nuestro cuerpo esta preparado para tener un “motor híbrido” y utilizar dos tipos de combustible, si no fuera así no habríamos sobrevivido como especie. Tener capacidad de utilizar glucosa en momentos de actividad intensa con una duración limitada y ácidos grasos para momentos de menor intensidad y descanso (almacenada en nuestros adipocitos), que es para lo que hemos estado diseñados durante millones de años y de esta manera tener siempre energía disponible.

Sin embargo, la nueva forma de vida en las sociedades desarrolladas ha generado un fenómeno que no es aceptado por nuestros genes y desencadena problemas de salud. Hemos evolucionado durante miles de años, pero en muy poco tiempo hemos creado un mundo para el que nuestro cuerpo no está preparado lleno de comodidades y sin estímulos. Hemos perdido nuestra flexibilidad metabólico y  largo plazo nos hace enfermar (estudio).

Tener alimento disponible en todo momento con mucha facilidad no es natural, como tampoco lo es no moverse para conseguirlo ya que la gran mayoría de los trabajos actuales son muy poco activos. Pero tampoco es natural comer 5 o más veces al día, y si además esta comida es procesada (muchas kcal que no generan saciedad y son extremadamente fáciles de digerir) hace que estemos viviendo una epidemia de obesidad (estudio)

La perdida de flexibilidad metabólica explica la resistencia a la insulina y los mecanismos que gobiernan la selección de combustible entre la glucosa y los ácidos grasos, siendo el inicio de graves problemas de salud como la diabetes tipo 2, obesidad, inflamación sistémica de bajo grado, lipotoxicidad, etc. (estudio)

¿Como podemos conocer si tenemos una adecuada flexibilidad metabólica?

Es más sencillo de lo que puede parecer y no hace falta hacer analíticas, ni pruebas complejas. Simplemente hacer un buen ayuno en un día activo (más de 14-16h) y realizar ejercicio a intensidad media/baja. Si en esas condiciones en las que los depósitos de glucógeno son bajas no sentimos malestar o mareos (hipoglucemia) es que muy posiblemente hemos sido capaces de consumir gran parte de la energía utilizada en forma de ácidos grasos. Pero si cada vez que dejamos de ingerir alimento cada 4-5h tenemos esas malas sensaciones tenemos un problema porque es un indicio de inflexibilidad metabólica y futuros problemas metabólicos a pesar de tener analíticas con valores dentro de la normalidad.

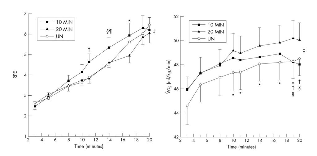
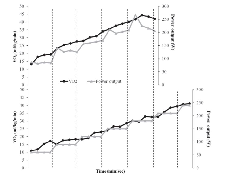
Este método “casero” se puede mejorar y ser mucho mas precisos, para ello tendremos que realizar un test de Fat Max.  Necesitaremos un ayuno previo de mas de 5-6h, ya que cuando tenemos altos niveles de azúcar en sangre utilizaremos como fuente principal de energía este nutriente que en ese momento sobra. Después realizaremos una medición de análisis de gases en reposo y en ejercicio aumentado la intensidad progresivamente hasta llegar al umbral anaeróbico. Es decir, no será exigente ya que no necesitamos llegar a intensidades máximas como en una prueba de esfuerzo (uno de los principales inconvenientes para realizarlo por sujetos no deportistas).

Controlando el CO2 que producimos y el O2 que consumimos obtenemos el cociente respiratorio (RER). Como ya vimos en otra entrada sobre la utilidad del Fat Max para el rendimiento, con este valor podemos conocer de manera bastante precisa el % de nutrientes que nos sirven como fuente de energía

Para conocer nuestra flexibilidad metabólica solo necesitaremos hacer esta valoración en reposo y a baja intensidad de ejercicio, ya que a medida que aumenta la intensidad también se eleva el RER y eso supone menor % de utilización de ácidos grasos.

Aunque hay mucha investigación sobre el rendimiento, existe muy poca sobre la población normal y la salud. Pero cada vez se esta investigando mas sobre el consumo de grasas en diferentes tipos de sujetos y los beneficios que supone para la salud (estudio)

Todavía no hay nada científico, pero desde nuestra experiencia en Reebok Sports Club hemos creado esta tabla en la que ya hemos comprobado el riesgo de las personas que se encuentran en RER superior a 0,90 y que puede suponer la detección precoz de problemas mitocondriales que es imposible conocer con métodos clásicos como analíticas.

Las diferencias entre una persona con alta y baja flexibilidad metabólica se mantienen durante las 24h del día. Esto implica que consumir mas o menos grasas es algo constante, en reposo y durante el ejercicio, e incluso la respuesta en las comidas es diferente. Tener una mejor flexibilidad metabólica supone beneficios en la salud, pero también en la estética, ya que es mucho mas sencillo disminuir el % de grasa. En este ejemplo podemos ver un registro de un día completo sobre una persona con diabetes (linea roja) y otra con una flexibilidad metabólica adecuada (linea azul), los cambios en el consumo de grasa son muy grandes y esto pasa las 24h del día y durante todos los días del año.

Dentro de unos años las analíticas del futuro no medirán el colesterol bueno y malo, algo que ya se ha demostrado que no influye demasiado en la salud (entrada). Las revisiones médicas laborales serán mucho más útiles, cambiando radicalmente la forma de valorar, para anticiparse a enfermedades que ahora solo se pueden ver cuando ya están.

Utilizaremos medios más útiles como medir el nivel de oxidación celular y potencial Redox para controlar el daño metabólico y todas las enfermedades mitocondriales (diabetes tipo 2, arteriosclerosis, obesidad, cáncer, enfermedades neurodegenerativas, etc.)

De momento tendremos que utilizar los medios disponibles y los mejores son conocer nuestra eficacia metabólica:

1.  Como utilizamos el oxígeno: Conocer el volumen de oxígeno y la capacidad de oxidación de nuestras mitocondrias es la mejor forma de conocer nuestra salud metabólica. Hacerse una prueba de esfuerzo cada año y tratar de no disminuir nuestro VO2max es la mejor referencia.

2.  Como utilizamos los nutrientes:  Controlar nuestra flexibilidad metabólica de manera regular siendo capaces de mantener valores saludables (RER 0,8 o inferior) nos indica que somos capaces de utilizar las grasas como nutriente y tenemos una adecuada sensibilidad a la insulina

En otras entradas contaremos cuales son las mejores opciones para mejorarlo. 

«Que tú alimento sea tu medicina y tu medicina sea tu alimento.»

— Hipócrates, padre de la medicina.

Esta es la primera entrada de mi nuevo blog. Acabo de empezar a escribir este nuevo blog. ¡Mantente al día para leer más entradas! Suscríbete a continuación para recibir notificaciones cuando publique nuevo contenido.

Cetonas y rendimiento deportivo

Durante muchos años los cuerpos cetónicos se han pasado por alto como sustrato para alimentar nuestro cuerpo. Incluso las connotaciones eran negativas por estar relacionados con pacientes diabéticos o estados de inanición. Pero actualmente hay investigación muy activa relacionada con el rendimiento deportivo y se han puesto de moda sobre todo en deportes de resistencia.

En este tipo de ejercicio, con grandes demandas de producción de ATP y las reservas finitas de glucógeno intramuscular, la utilización de cuerpos cetónicos puede suponer una importancia como sustrato energético. En este artículo vamos a ver los posibles beneficios, pero ya os adelanto que no será un suplemento mágico para mejorar el rendimiento.

Cetonas endógenas o exógenas

Conocemos beneficios importantes para la salud y el metabolismo de los cuerpos cetónicos en otra entrada. Pero conseguir este estado, supone una reducción importante de los depósitos de glucógeno hepático y muscular (estudio). Las dietas con bajos niveles de hidratos de carbono reducen la capacidad de utilizarlos y limita la capacidad de mantener intensidades moderadas y altas (estudio, estudio). Por lo que conseguir un estado cetogénico natural en deportistas puede suponer más perjuicio que beneficio a no ser que se haga en momentos alejados de la competición, donde si puede tener mayor sentido.

Sin embargo, se puede conseguir un estado cetogénico, utilizando cetonas como suplemento para mejorar el rendimiento. Respecto una dieta cetogénica con niveles bajísimos de hidratos de carbono que necesita varios días para conseguir niveles adecuados en sangre, con la administración de estos suplementos podemos alcanzar niveles elevados en solo 1-2h (estudio).

En principio hay tres principales formas de suplementación:

  • Triglicéridos de cadena media (TCM): Eficientes para incrementar los cuerpos cetónicos en deportistas, pero en condiciones de reposo y alejados de la competición. Son necesarias altas cantidades para conseguir elevaciones importantes de niveles en sangre y a pesar de tener una buena tolerancia, pueden generar malestar gastrointestinal.
  • Sales de cetona: Son combinaciones de cetonas con minerales como sodio, potasio, calcio o magnesio. Son económicos, pero tienen un impacto bajo en la elevación de niveles en sangre a no ser que las cantidades sean muy elevadas.
  • Esteres de cetona: Son actualmente la forma conocida más eficiente para incrementar los niveles de cetonas plasmáticas en deportistas. Tienen los mínimos efectos secundarios y elevan rápidamente los niveles en sangre con una cantidad reducida, pero con un precio elevado.

La opción más sencilla y económica podría ser utilizar MCT o incluso combinar con sales de cetona, fuera de temporada para adaptarnos, ya que son necesarias grandes cantidades y posible malestar gastrointestinal (estudio). Podemos utilizarlos como objetivo para reducir el apetito si necesitamos disminuir peso (estudio).

Pero si necesitamos el máximo rendimiento en momentos de competición, practicidad para el deportista y nos lo podemos permitir, es preferible utilizar esteres de cetona por su rapidez y efectividad.

Dosis adecuadas de cetonas

Para conseguir niveles de cetonas adecuados (1-3 mmol/L) con efectos fisiológicos en el rendimiento deportivo, necesitamos dosis altas de cetonas exógenas. Es poco probable que haya beneficios en el rendimiento deportivo si las concentraciones de cetonas no superan cierto valores y parece que este debe ser un mínimo de 1,0 mM (estudio, estudio)

Actualmente se suelen utilizar en deportistas dos tipos de esteres de cetonas:

  • Monoéster de cetonona: parece el más eficaz alcanzando niveles de hasta 3mM tras solo 20min de la ingesta y es el que mejores resultados ha mostrado en el rendimiento (estudio).
  • Diéster de acetato: produce niveles de cetonas plasmáticas más bajos, sin llegar a alcanzar en la mayoría de los casos los niveles fisiológicos requeridos. Además, hay muestras de disminución del rendimiento, limitando el suministro de ATP a partir de HC necesario en actividades de alta intensidad (estudio).

Las dosis habituales se sitúan entre 300 y 600 mg/kg peso. Eso supone por ejemplo en mi caso con 68kg de peso, como mínimo dosis de 20gr. Y la mayoría de las marcas comerciales utilizan cantidades de 5 a 10gr por dosis. Aunque hay algunas que si consiguen 20-30gr, pero con precios muy elevados (aproximadamente 20-30 euros por cada dosis).

Este será un aspecto importante a la hora de decidir, si queremos probarlas tendremos que realizar una inversión importante ya que antes hay que testarlas.

Si puedes superar estas barreras, continúa leyendo para informarte.

Posibles beneficios de las cetonas en el rendimiento deportivo

Ingesta antes/durante:

Efectos positivos

Las primeras investigaciones estaban relacionadas con una forma de aportar energía extra para mantener la producción de energía en deportes de larga duración y reservar depósitos de glucógeno estudio.

Las probabilidades de que las cetonas ayuden al rendimiento son mayores en deportistas entrenados en resistencia con proporciones más elevadas de fibras tipo I y mayor capacidad para oxidar las cetonas circulantes (estudio)

La referencia más importante se realizó con este estudio de Cox en 2016. Aportando como ya comentamos la mejor opción, monoester de cetona, se podía mejorar el rendimiento un 2% en un test realizado en laboratorio de 1h de ciclismo al 75% Wmax + 30min contrarreloj con deportistas bien entrenados, al ingerir cetonas (573mg/kg) + HC (1,2 gr/min). En esta investigación se estimó que las cetonas podían suponer un 16-18% de la cantidad total de energía suministrada.

En otro articulo con la concentración adecuada de cetonas (aprox 2mmol/L) se consigue una mejora de un 7% en la eficiencia del ejercicio a intensidades moderadas (50-75% Wmax). Pero donde mayores contribuciones suponen al esfuerzo es a intensidades muy bajas (25% Wmax).

En otro estudio se pudieron ver cambios positivos en aumento de oxidación de grasas en la fase ejercicio bajo y moderado a intensidad estable (30% y 60% del VT2). Pero se contempló un perjuicio en la fase de alta intensidad, ya que la cetosis puede restringir la glucólisis.

Hasta ahora las referencias parecen prometedoras, siempre que el ejercicio sea de intensidad baja y moderada, sin necesidad de utilizar altas intensidades. Algo que puede ocurrir en deportes de ultrafondo.

Efectos negativos

Utilizando el suplemento que peor funciona, el acetoacetato diester y sin conseguir superarse valores de 1mmol/L se mostró un descenso del rendimiento. En este caso eran 8 ciclistas de nivel profesional en una contrarreloj de 31km en condiciones reales tras un buen calentamiento (estudio).  El descenso de rendimiento fue para todos los participantes, con una media de un 2%, aunque en parte el malestar gastrointestinal pudo afectar a estos resultados.

Otro estudio más reciente, esta vez con el suplemento que parece tener mejores prestaciones, el monoester de cetona. Se mostró una disminución de rendimiento del 2% en un test en ciclistas de buen nivel realizando una prueba crono de 20min. Quizá no era lo mas acertado por el tiempo tan corto y la elevada intensidad.

Para finalizar y revisando el último meta-análisis sobre la ingestión de cetonas no se recomienda su utilización por la escasa evidencia, con una mayoría de artículos con descenso de rendimiento (sobre todo si la intensidad es elevada) e incluso una alta probabilidad de molestias gastrointestinales.

Conclusiones

  • A pesar de parecer una idea prometedora, se ha podido comprobar que la oxidación de cuerpos cetónicos contribuye poco a la producción de ATP, aproximadamente un máximo de 5%) (estudio).
  • Además, esta suplementación parece atenuar la utilización de hidratos de carbono y tener un impacto negativo en ejercicio de alta intensidad con la inhibición de algunas enzimas metabólicas como PFK o PDH
  • Es muy probable que para utilizar las dosis necesarias para mejorar el rendimiento ocasionemos molestias gastrointestinales, uno de los principales problemas de los deportistas de resistencia de larga duración

Ingesta post-entrenamiento

La base de estas conclusiones se basará el siguiente estudio y analizaremos por partes las que considero más importantes. Aunque como podéis ver en la imagen hay unas cuantas mas y muy interesantes

Aumentar la capacidad de recuperación

  • Resíntesis glucógeno, incremento de Glut-4 + insulina. Si se toma junto a glucosa se puede aumentar la captación de glucosa en el músculo hasta un 32% (estudio).

En sesiones de entrenamiento de agotamiento de glucógeno, la ingesta de cetonas junto a una dosis elevada de hidratos aumentaba hasta un 50% la concentración de glucógeno muscular (estudio)

  • Activación mTOR y resíntesis proteína, sobre todo junto a ingesta de Leucina favoreciendo la recuperación (estudio). Además, tiene un potente efecto anticatabólico que puede apoyar el mantenimiento de la masa muscular en momentos de alto estrés o fases de perdida de peso (estudio), especialmente en el musculo esquelético (estudio)
    • Atenuación de la inflamación, el daño muscular y potencial Redox (estudio). Se ha podido comprobar que la suplementación de cuerpos cetónicos reduce los niveles de CK y LDH (estudio)
    • Los cuerpos cetónicos reducen la fatiga mental percibida al proporcionar energía estable al cerebro incluso con los niveles de glucosa son bajos (estudio). Se han comprobado mejoras en marcadores de rendimiento cognitivo en deportistas (estudio)

Además, los cuerpos cetónicos pueden modular la liberación de serotonina (sensación de fatiga) y estabilizar los de dopamina, manteniendo la motivación por mantener la actividad (estudio).

Conclusiones

  • En este aspecto parece que la literatura científica apoya este tipo de estrategia, pero exclusivamente con monoéster de cetona (estudio)
  • Además de favorecer la reposición de glucógeno y resíntesis de proteína muscular, parece que tiene un efecto importante en la reducción de inflamación
  • También se han mostrado efectos a medio plazo en la mejora de recuperación administrados durante 3 semanas, protegiendo del síndrome de sobre entrenamiento (estudio)
  • Todos estos aspectos, unidos a la disminución de fatiga mental pueden hacer que sea un suplemento importante en pruebas de resistencia por etapas

Aumentar la producción de EPO y mejorar la tolerancia a la hipoxia

Las dietas cetogénicas bajas en carbohidratos muestran un incremento del metabolismo del hierro y de la cantidad de glóbulos rojos (estudio). Pero recientemente se ha podido demostrar que con la ingesta de monoéster de cetonas post-ejercicio (290mg/kg durante 3h) se conseguía incrementar los niveles de EPO. Algo similar a permanecer a 2000m de altitud (estudio). En otro estudio se consiguieron elevaciones importantes EPO de hasta un 30%.

Además, se ha podido comprobar que la ingesta aguda de cetonas puede aumentar la oxigenación sistémica y del músculo en ejercicio en situaciones de hipoxia aguda (estudio).

Incluso se han podido comprobar mejoras en el rendimiento cognitivo, incremento de saturación de oxígeno y tiempo de reacción en condiciones de reposo con exposición hipóxica severa (5000-6000m) (estudio, estudio).

Propuesta práctica

  • Se sigue trabajando en la hipótesis de que existe un umbral por encima del cual deben superarse concentraciones de 1.0 mM para provocar efectos metabólicos relevantes. Si no se consigue todo el esfuerzo puede ser en vano. Para controlar de forma individualizada necesitamos un analizador de cetonas
  • En muchos casos se han demostrado problemas gastrointestinales, ya que se suele recomendar al menos 300mg/kg peso, por lo que es importante probar y adaptarse antes de utilizar, tanto para el durante como para el post-entrenamiento
  • El efecto agudo de dosis de cetonas en el rendimiento deportivo parece una mala idea, aunque falta por demostrar dosis óptimas, diferentes tipos de deportistas y condiciones específicas.
  • El alto coste de estos suplementos y tener que probarlos bien antes para evitar malestar gastrointestinal, limita aún más las probabilidades de utilización por deportistas debido a la escasa evidencia en la utilización durante el ejercicio
  • Si parece aumentar la evidencia en el concepto de mejora de la recuperación, por lo que la ingestión post-entreno parece ser la mejor opción de uso para facilitar la recuperación, sobre todo interesante en competiciones por etapas. Y más si es en condiciones de calor, porque parece que puede favorecer la rehidratación con una reducción de la diuresis (estudio)
  • También hay pruebas que evidencian un aumento de la producción de EPO, con efectos similares al entrenamiento en hipoxia/altitud e incluso de angiogénesis muscular. Incluso de adaptación a estados de hipoxia, por lo que podría ser una ayuda durante concentraciones en altitud o montañeros
  • Incluso se han obtenido hallazgos en la mejora del rendimiento cognitivo en ejercicio extenuante, ya que las cetonas tienen efecto neuroprotector y sirven como fuente de energía (estudio)
  • Se necesita tiempo, dosis altas y aún más conocimiento para poder realizar esta estrategia con garantías. Seguramente dentro de unos años podamos entender mucho mejor como afecta la suplementación con cetonas al ejercicio.

Suplementos de vitamina D, ¿igual de efectivos que el sol?

Nuestros genes se desarrollaron y evolucionaron bajo ciclos solares. El Sol provocaba el día y la noche, el verano y el invierno. O lo que es lo mismo luz y oscuridad, frio y calor, abundancia o escasez de alimentos. El Ying y el Yang siempre han estado presentes en nuestros ancestros y el exceso o escasez puede suponer alteraciones importantes en la salud.

El ser humano necesita el sol, lo buscamos y al recibirlo nos sentimos con mejor humor y mas energéticos. Sin embargo, cuando no lo recibimos estamos tristes y decaídos, siendo uno de los métodos mas subestimados para tratar este tipo de trastornos (estudio). Incluso se ha podido comprobar que recibir un baño de sol a mediodía, puede aumentar la producción de melatonina (principal antioxidante natural) y mejorar calidad del sueño incluso en personas mayores (estudio).

La mal llamada vitamina D es posiblemente mucho mas que eso, es realmente una hormona con un tremendo poder para la salud como ya hemos comentado en otra entrada. Si no fuera así, no tendríamos receptores de vitamina D (VDR) por todo el cuerpo, cerebro, corazón, piel, páncreas, gónadas, colon e incluso en las células del sistema inmune (estudio).

Niveles de vitamina D

Hace muchos años, en hospitales y sanatorios se sacaban las camas al exterior, porque sabían que el sol ofrecía curación sin conocer los niveles de vitamina D en sangre. Incluso se ha podido comprobar recientemente que los pacientes que están junto a ventanas se recuperan antes y tienen menor mortalidad (estudio)

Niveles bajos de vitamina D están relacionadas con muchos problemas de salud, entre ellos la depresión. ¿Pero realmente es la falta de vitamina D o es la falta de luz solar? (estudio)

Antes de contestar a esta pregunta (con la que desconozco si hay algún artículo científico que lo demuestre de manera clara), vamos a ver las diferentes formas en las que se presenta la vitamina D. Lo que si tengo muy claro es que no tenemos la misma relación con el sol que tenían nuestros abuelos ni sus

Tipos de vitamina D

La vitamina D se encuentra en la naturaleza de dos formas diferentes:

  • vitamina D2 (ergocalciferol) que se obtiene de vegetales que han recibido irradiación solar (por ejemplo, setas)
  •  vitamina D3 (colecalciferol) de origen animal derivado del colesterol y que nuestro propio cuerpo produce.

La mayoría de los estudios demuestran que la forma D3 es mas útil para el ser humano.

Pero esta vitamina D3 es una prohormona y no tiene funcionalidad biológica. Para que realmente sea activa necesita dos procesos.

  1. El primero es pasar por el hígado formando el 25-hidroxicolecalciferol (calcidiol)
  2. La segunda es pasando por el riñón para formar la molécula activa que se denomina 1,25-dihidroxicolecalciferol (calcitrol)

Lo que se mide en sangre mediante una analítica es la 25-OH vitamina D, que es simplemente el precursor de la que realmente es funcional al pasar por el riñón.

Vitamina D sulfatada

Esta es la parte que muchos conocéis o podréis encontrar con mucha facilidad, pero aún es más complejo. Cuando la piel se expone a los rayos ultravioleta del sol, se produce una reacción en la vitamina D que hace que cambie a forma sulfatada y esta no es la misma que la vitamina D3 (colecalciferol) de los alimentos o suplementos. La gran diferencia es que, al sulfatarse, esta “vitamina” pasa de ser liposoluble a hidrosoluble, provocando una mayor facilidad para distribuirse por el cuerpo (articulo)

Pero aún hay más, la vitamina D3 influye en el transporte de calcio, pero una cosa es absorberlo y otra es utilizarlo de manera adecuada. Según un reciente meta-estudio con 25.871 participantes, la suplementación con vitamina D (2.000 UI diarias) no supuso ningún cambio en las tasas de fracturas y de osteoporosis en un registro de mas de 5 años.

Se ha podido comprobar que subir los niveles de 25 OH D en sangre mediante exposición al sol o suplementos no tiene los mismos efectos. A pesar de que la suplementación puede elevar más y más rápido los niveles en sangre, tomar el sol mejora el perfil lipídico a medio plazo, mientras que en forma de suplemento empeora (estudio)

Parece que la forma sulfatada es la principal responsable de los efectos positivos en sistema inmune, cardiovascular y estado de ánimo. Además, los receptores de vitamina D no distinguen entre la forma activa (calcitriol) y la no activa (calcidiol). Por lo que un exceso puede bloquear el normal funcionamiento de la forma activa y aumentar las patologías y mortalidad (estudio, estudio)

Ying-yang entre la vitamina D y la K

Como hemos hablado la vitamina D tiene mas funciones hormonales que de simple vitamina y casi todas las hormonas en el cuerpo humano tienen la anti-hormona. Lo que hace una, otra lo deshace. Hay un aspecto muy claro y demostrado con un potencial peligro para un exceso de esta vitamina y es la relación entre la D y la K. Ingerir altos niveles de vitamina D puede generar desequilibrios y mas si es la no sulfatada (esta la produce nuestro organismo según necesidad), pero no se puede eliminar con facilidad si es en suplementos (liposoluble).

La vitamina D3 se encarga de asegurar el calcio para los huesos en la sangre, pero no controla donde acabará. En ese momento es donde la vitamina K juega un papel fundamental. Cuando la cantidad es limitada se encarga de realizar su función principal, producir proteínas en el hígado que se denominan factores de coagulación. Si hay suficiente, su siguiente misión es dirigir el calcio donde es necesario y que no se almacene generando un peligro, como por ejemplo calcificando una arteria o formando cálculos en el riñón (articulo).

El problema es que tengamos un exceso de vitamina D en forma no activa en la sangre, en forma exclusiva liposoluble que puede provocar hipercalcemia si el aporte de vitamina K no esta a su nivel (estudio)

La forma activa de vitamina D, recordad que es 1,25-OH vitamina D (calcitriol) necesita una determinada cantidad de magnesio. Se ha podido demostrar que sin este importante mineral podemos tener una alta cantidad de vitamina D medida en sangre, pero sin utilidad (estudio)

Ying-Yang calcio y magnesio

Curiosamente hay una relación muy importante entre el calcio y el magnesio. Altos niveles de calcio (que tiene una gran fama en cuanto a suplementación) genera déficit de magnesio y este a su vez de vitamina D de forma activa. Por lo que puede aumentar el proceso peligroso de exceso de calcio + suplemento de vitamina D en forma inactiva sin la presencia del magnesio.

Debemos recordar que el cuerpo debe tener un equilibrio y normalmente tiene mecanismos para compensarlos, pero si tomamos dosis de suplementación elevadas, podemos romper ese equilibrio.

Hay evidencias de que utilizar megadosis suponen un riesgo mayor de fracturas y caídas en personas mayores, utilizando dosis de 500.000 UI/anuales de colecalciferol (estudio). Incluso en algunos artículos se ha podido registrar que la dosis prolongada provoca un mayor riesgo de litiasis y de hipercalcemia incluso con dosis conservadoras (estudio). No he encontrado evidencias en dosis mensuales de 50.000 UI, pero la lógica me dice que no debe ser buena idea ingerir toda esa cantidad sin los adecuados nutrientes para compensar esa cantidad de vitamina D inactiva.

RESUMEN:

  • La vitamina D cumple funciones importantísimas en el organismo y en una buena salud
  • Hay diferentes formas de vitamina D, pero la D3 sulfatada (obtenida mediante los rayos del sol) es la que ofrece mayor biodisponibilidad al ser hidrosoluble y se puede eliminar con facilidad no la liposoluble que puede representar problemas en exceso.
  • La vitamina D en forma no activa (25-OH) es la que se mide en analíticas y puede generar conclusiones incorrectas respecto a nuestros niveles adecuados
  • Para que la vitamina D sea funcional necesitamos dos cosas importantes, sol y magnesio que esta implicado en la formación de vitamina D activa (1,25-OH)
  • Es fundamental el equilibrio de vitamina D y vitamina K, sobre todo si estamos utilizando suplementación en dosis elevadas.
  • Si queremos tener niveles adecuados de vitamina D solo debemos exponernos al sol de forma continua y durante todo el año. Vivir alejado de la luz del sol y de lo que tienen marcados nuestros genes es alejarse de la salud
  • También serán importantes niveles adecuados de magnesio y de vitamina K para tener el equilibrio adecuado en nuestra salud
  • Un suplemento de vitamina D, solo contiene vitamina D. Esta fabricada en un laboratorio y nunca podrá sustituir los cientos de reacciones que produce el sol en nuestro cuerpo.

Cuerpos cetónicos en la mejora de la salud

Los hidratos de carbono son la via preferente para producir energía. Con dietas basadas en este nutriente, nuestro cuerpo no necesita utilizar otras vías. Pero si es necesario, tenemos otros métodos que nos permiten seguir manteniendo los niveles de glucosa imprescindibles. Uno de ellos es la producción de cuerpos cetónicos, que además de haber sido fundamental para la supervivencia de nuestros ancestros, también supone una gran herramienta para mejorar la salud.

No solo de hidratos de carbono vive el hombre

Nuestros antepasados no lo tuvieron tan fácil como nosotros. No había comida de todo tipo en supermercados, ni neveras en casa. Tampoco tenían posibilidad de comer 4, 5 o hasta 6 veces al día. Estaban preparados para sobrevivir en circunstancias mucho peores a las que nosotros tenemos gracias a una excelente flexibilidad metabólica. El cuerpo tras millones de años de evolución generó plan B, C y hasta D en caso de no poder ingerir los hidratos de carbono suficientes para mantener los niveles fisiológicos adecuados. 

Sin embargo, esta capacidad se puede perder en nuestro actual modo de vida sedentaria y de sobrealimentación. Al hacerlo durante mucho tiempo, llegamos a un estado de fragilidad metabólica y el inicio de muchas enfermedades modernas (estudio). La pérdida de flexibilidad metabólica, que como ya vimos en otra entrada supone la capacidad de utilizar diferentes combustibles en función de las necesidades, tiene una gran importancia en la salud. Mantenerla o perderla depende de nuestros hábitos y forma de vida.

Plan A, ingesta de alimentos.

Es el que todo el mundo conoce y práctica cada día, mantener niveles de glucemia en sangre de un mínimo de 4mmol/L (70-75 mg/dl) para evitar hipoglucemias. Este valor suele estar sobre elevado en un porcentaje muy alto de la población por el exceso de ingesta y malos hábitos nutricionales. Si tenemos estas condiciones, podemos generar a largo plazo importantes problemas de salud como, por ejemplo, resistencia a la insulina y diabetes.

El resultado de una ingesta alta y continua de hidratos de carbono, sin realizar ejercicio físico implica una alta producción de insulina. Y esta hormona además de otras muchas funciones positivas, tiene alguna que en exceso es negativa, como inhibir la lipólisis y la capacidad de nuestro cuerpo para utilizar la grasa como fuente de energía. Es decir, con una alta producción y durante mucho tiempo, tendremos cada vez más dificultad para utilizar la grasa como combustible y además generaremos resistencia a la insulina.

Los valores más elevados no deberían superar los 7mmol/L (125 mg/dl), excepto en momentos puntuales como ejercicio de alta intensidad o tras la ingesta de hidratos de carbono. Pero hablamos de solo permanecer unos minutos por encima de esos niveles. Mantenerlos de forma constante es uno de los datos más evidentes que indican problemas metabólicos. Para comprobar la realidad de este valor no sirve una simple analítica en ayunas. Esa referencia es de un solo día y momento cualquiera. Puede engañarnos, ya que, en otra hora o día, ese valor considerado “aceptable” puede ser excesivo. En este sentido me encanta la expresión, “mirar el árbol y no ver el bosque”. El árbol puede estar bien, pero los de alrededor se pueden estar quemado.

Para conocer la realidad en el tiempo (ver el bosque) debemos utilizar un sensor de glucosa y un análisis de lo que ocurre. La mejor opción que conozco es Glucovibes y creo que todos deberíamos utilizar al menos una vez en la vida. No solo para comprobar nuestra realidad, sino para aprender los alimentos que realmente nos sientan mal (el índice glucémico no es la realidad), que puede hacer un solo día de mala alimentación y como es importante el timing de la nutrición con el ejercicio.

Además de los problemas de diabetes, se ha demostrado que uno de los riesgos más importantes para la salud de niveles elevados de glucosa en sangre es el daño del glucocálix endotelial (estudio). Este deterioro es uno de los principales causantes de la aterosclerosis y patologías cardiovasculares (principal causa de mortalidad en las sociedades desarrollados según la ONU) (estudio, estudio), pero no el colesterol al que todo el mundo da tanta importancia, como ya vimos en otra entrada

Plan B, glucógeno hepático

Cuando pasamos varias horas sin ingerir alimento o realizamos actividad física, necesitamos recurrir a otros métodos para obtener energía. La más sencilla es mediante la acumulación de hidratos de carbono en forma de glucógeno. Como ya hemos visto en otra entrada, es una capacidad entrenable sobre todo a nivel muscular. Los deportistas tienen niveles mucho más elevados y esto supone unos depósitos útiles para el ejercicio. Pero cada músculo almacena y utiliza sus propias reservas, sin compartirlas. Por lo que solo tenemos el hígado como almacenamiento general para mantener los niveles adecuados de glucosa en sangre. Sin embargo, este almacenamiento no es muy grande, ya que tan solo se puede acumular unos 80-100gr de glucógeno. Se ha podido demostrar que los niveles de glucosa disminuyen a medida que pasan las horas, y sin realizar actividad física podrían mantenerse niveles de glucemia adecuados sin agotarse entre 24 y 48h (estudio)

Plan C, Neoglucogénesis mediante aminoácidos

Tras un ayuno prolongado y con disminución importante de las reservas de glucógeno, la principal opción para mantener niveles suficientes de glucemia se produce mediante la neoglucogénesis. Esta producción de glucosa a partir de aminoácidos se realiza fundamentalmente en el hígado y en menor porcentaje en riñones y epitelio intestinal (estudio). Uno de los medios más utilizados es mediante aminoácidos (todos excepto la lisina y leucina) (estudio). Sin embargo, este proceso hace que rápidamente disminuyan estos aminoácidos libres, por lo que en una situación prolongada puede suponer un alto catabolismo de nuestros tejidos. Se necesitan 1,75gr de proteína muscular para producir 1gr de glucosa (articulo). Debido a este proceso que puede ir contra de nuestra salud y supervivencia, al disminuir el aporte de aminoácidos comienza a disminuir notablemente este proceso dando lugar al siguiente plan.

Plan D, Neoglucogénesis mediante glicerol

Este es el último recurso para seguir produciendo energía y mantener los niveles adecuados de glucemia. Se utiliza el glicerol producido por la hidrolisis de los triglicéridos para generar cetonas. Es curioso porque este aporte puede variar mucho de una persona a otra según el porcentaje de grasa. En condiciones normales con niveles aptos de glucemia, este aporte solo supone aproximadamente una media de un 10% de la contribución. Sin embargo, en condiciones de ayuno prolongado puede suponer hasta un 38% en sujetos delgados y el doble (79%) en sujetos obesos (estudio).

¿Qué son las cetonas?

Las cetonas o cuerpos cetónicos son combustibles alternativos a la glucosa que se fabrican cuando se descomponen grasas en el hígado para obtener energía. El hígado carece de enzimas necesarias para oxidar los cuerpos cetónicos y estos son enviados al corazón, musculo esquelético e incluso al cerebro. Los cuerpos cetónicos son capaces de atravesar la barrera hematoencefálica y servir de fuente de energía, por lo que parece que el mito de “el cerebro solo se alimenta de glucosa” es falso o al menos en parte (estudio). Incluso algunas investigaciones muestran que los astrocitos en ciertas condiciones son capaces de generar sus propios cuerpos cetónicos (Tesis). Si tenemos esta capacidad, todo apunta a que nuestro cerebro no solo vive de glucosa.

Como producir cetonas

Como ya hemos visto los pasos o planes perfeccionados durante siglos en nuestra especie, es mucho más fácil entender cómo podemos producirlas

Dieta Cetogénica o reducir todo lo posible los hidratos

Como ya hemos visto, si hay suficientes hidratos de carbono, el cuerpo no necesita producir cuerpos cetónicos. Por lo que el principal factor para producirlos es una ingesta limitada de ellos o adecuada a la cantidad de actividad física que realizamos. He visto muchos artículos que recomiendan un cierta cantidad máxima de 20gr, 30gr o 50gr. Pero si hacemos esto con un trabajo muy activo o entrenando mas de 3h cada día será algo insostenible en tiempo. Cada uno de nosotros tendremos una cantidad mínima y eso depende fundamentalmente de nuestra actividad diaria. Pero también según el gasto real de hidratos de carbono o grasa durante el ejercicio que ya vimos en otra entrada.

Ayuno intermitente

Si os cuesta seguir dietas estrictas como a mí, otra forma más sencilla es realizar ayunos prolongados. El objetivo es el mismo, no tener glucosa en el cuerpo para obligarnos a realizar neoglucogénesis, pero este método tiene beneficios extra que ya vimos en otra entrada. El efecto hormonal producido durante el ayuno es la principal diferencia respecto a la cetosis nutricional. El cortisol tiene un efecto combinado con la insulina, si esta es elevada se promueve el almacenamiento de grasa, pero con niveles bajos de insulina se promueve un incremento de lipolisis y mayor facilidad para producir cuerpos cetónicos (estudio). Esto implica que los cuerpos cetónicos producidos se generan en base a la grasa almacenada y no con la ingerida (dietas cetogénicas). Eso sí, no son recomendables para cualquiera, ya que necesitaremos bastantes horas para que sean efectivos en la producción de cuerpos cetónicos y en algunos metabolismos desentrenados puede no ser el mejor recurso. En mi caso es sencillo realizar ayunas de +24h y consigo elevar los niveles de cetonas a niveles adecuados con más facilidad. Sin embargo, ayunos de menos de 16h no serán suficientes si no están acompañados de una dieta cetogénica o ejercicio (estudio).

Ejercicio

Aunque suele ser el que menos se tiene en cuenta, como deportista de resistencia para mi es el que supone mayor facilidad para conseguir la producción necesaria. Tiene lógica, ya que, si el objetivo es disminuir la disponibilidad de hidratos de carbono, tenemos la opción de no ingerirlos o en este caso, gastarlos con ejercicio. A nivel personal, puedo estar 4-5 días de dieta cetogénica bastante estricto con valores bajos de cetonas y en menos de 24h de ayuno sumado a un entrenamiento de fondo de baja intensidad consigo niveles muy aceptables sin mucho esfuerzo.

Alimentos ricos en grasas

Los alimentos ricos en grasa saludable pueden aumentar los niveles de cetonas (pescados grasos, aguacate, aceite de oliva, etc.), pero sobre todo triglicéridos de cadena media (MCT) siendo uno de los más conocidos el aceite de coco. Utilizar este tipo de alimentos podrá acelerar la producción de cuerpos cetónicos (estudio).

Beneficios de los cuerpos cetonicos

  • Control del apetito. Este tipo de dietas suponen un retraso del vaciado gástrico ofreciendo sensación de saciedad durante más tiempo. También reducen las fluctuaciones de glucemia y al evitar episodios de hipoglucemia también tienen efecto en el apetito. Por otro lado, tanto el β-hidroxibutirato (cetona más abundante), como la hormona colescitoquinina (CKK) estimulada por un alto consumo de grasa son potentes supresores del apetito (estudio)
  • Prevención y tratamiento del síndrome metabólico: La mejora del perfil glucémico y sensibilidad a la insulina suponen una herramienta de control de enfermedades derivadas de este factor de riesgo (estudio) y además de forma segura (meta-estudio)
  • Efecto antioxidante y antinflamatorio: La producción de ATP mediante oxidación de cuerpos cetónicos es más eficiente que incluso oxidar ácidos grasos y la producción de radicales libres en inferior (articulo). Pero, además, estos procesos incrementan la producción de glutatión, el mayor antioxidante natural (estudio, estudio). Incluso se ha demostrado que niveles elevados de β-hidroxibutirato producen una mayor resistencia al estrés, regulando una amplia gama de procesos fisiológicos a nivel celular y sistémico (estudio).
  • Anticancerígeno e inmunoregulador: Concentraciones elevadas de BHB en sangre guiarán al cuerpo a cerrar procesos fisiológicos innecesarios. Esto puede afectar de forma positiva a las células inmunes y mejorar la permeabilidad de mucosas (estudio). También se ha comprobado que además de los beneficios metabólicos en la prevención de cáncer, el BHB tiene efectos supresores de tumores y puede suponer un efecto coadyuvante en la terapia del cáncer (artículo, TFG)
  • Enfermedades neurodegenerativas (epilepsia, Parkinson, Alzehimer, esclerosis múltiple): Estas enfermedades se asocian con la alteración del metabolismo energético del cerebro. Estudios indican que los cuerpos cetónicos mejoran el metabolismo energético del cerebro. En concreto, parece que el ß-hidroxibutirato inhibe el estrés oxidativo, la disfunción mitocondrial, la neuroinflamación, restaurando el metabolismo parcialmente (estudio).

La dieta cetogénica lleva casi un siglo recomendándose para tratar la epilepsia con éxito, sin conocer exactamente los mecanismos de su eficacia (estudio). En un meta-estudio se ha podido comprobar que esta dieta pudo reducir en solo 3 meses un 85% el número de crisis e incluso en el 55% de los pacientes reducir completamente los ataques.

Los cuerpos cetónicos producen modulación positiva de GABA y modificaciones positivas en la microbiota potenciando el efecto neuroprotector (estudio).

Se han podido demostrar beneficios en la enfermedad de Alzheimer (estudio) y Parkinson (meta-estudio), aunque falta investigación sobre el efecto a largo plazo de este tipo de dietas (estudio).

Incluso se ha podido comprobar una regeneración de la vaina de mielina y mejoras del metabolismo neuronal (estudio).

¿Cuándo es recomendable realizar dieta para producir cetonas?

Aunque hay poblaciones muy adaptadas a este tipo de dietas, como los Inuit y algunas personas no tienen problemas por utilizarla durante todo el año, desde mi punto de vista no debe prolongarse de forma constante demasiado en el tiempo.

El primer motivo es que si queremos tener una alta flexibilidad metabólica y pasamos varios meses en cetosis perderemos la capacidad de utilizar de manera adecuada los hidratos de carbono. Este aspecto es fundamental si somos deportistas y mas si queremos realizar actividades de alta intensidad, que como vimos en otra entrada es la mejor herramienta para mejorar la salud.

El segundo es que suele ser una dieta más limitada en contenido en fibra y eso puede producir problemas de estreñimiento si no cuidamos incluir alimentos ricos en ella (frutos secos, hortalizas y verduras de hoja verde, semillas, etc.).

Si seguimos el ejemplo de nuestros antepasados y lo que tenemos marcado en nuestros genes, parece muy razonable realizar un pequeño periodo cetogénico en los meses de frio. Desde mi punto de vista 4-8 semanas pueden ser suficientes. En este momento la naturaleza no ofrece casi hidratos de carbono y es cuando menos horas de luz y movimiento solemos realizar. También si somos deportistas es cuando normalmente solemos realizar menos volumen de entrenamiento.

Otro tema es que lo utilicemos con fines terapéuticos, como en tratamiento de cáncer o enfermedades neurodegenerativas. En este caso, deberían mantenerse en el tiempo con pequeños periodos de ingesta de hidratos de carbono, sobre todo cuando más movimiento/ejercicio se vaya a realizar. No soy un experto en este campo, por eso os recomiendo leer otros contenidos más interesante con muchas propuestas e incluso un ratio adecuado de glicina/metionina como cancerintegral

Niveles adecuados de cetonas

Los niveles de cetonas parecen bastante claros y consensuados. En condiciones normales de una dieta occidental el nivel en sangre esta por debajo de 0,2 mmol/L. Se considera que hasta 0,5 mmol/L no tenemos beneficios en la salud por estos cuerpos cetónicos.

Conseguir valores de entre 0,5 a 3 mmol/L sería nuestro objetivo y se puede comprobar en tiras de orina (más económicas pero imprecisas) o incluso mejor con un analizador de cuerpos cetónicos en sangre (ebketone). Si vamos a realizar de forma regular puede ser una buena opción, ya que su coste no es elevado.

Superar niveles de 3mmol/L en algunos casos puede suponer que el ayuno es excesivo o el aporte de energía es insuficiente para mantener en el tiempo. También puede existir deshidratación o incluso complicaciones en sujetos con diabetes si los niveles son muy elevados. Solo sería recomendable llegar a estos niveles con fines terapéuticos y siempre bien controlados. Aunque en algunas investigaciones con sujetos obesos se han encontrado valores estables de 5.0 mmol/L de hasta 20 días (estudio). Por lo que los niveles tan reconocidos quizá necesiten ser individualizados.

Los niveles como cualquier biomarcador fluctúan durante el día. Por la mañana suelen ser más bajos y van subiendo durante el día consiguiendo el mayor pico a media tarde, para de nuevo volver a bajar (estudio). Esto puede suponer un cambio a la hora de interpretar los datos.

Además, hay otros peros, lo importante no es conseguir niveles elevados, sino los efectos que estos cuerpos cetónicos tienen en nuestro organismo. Niveles altos o adecuados no significan que seamos capaces de utilizar mas grasa almacenada en nuestro cuerpo, como ya vimos. Si ingerimos gran cantidad de grasa es posible que un altísimo porcentaje de los cuerpos cetónicos se generen sin utilizar nuestras reservas.

Tampoco es cierto que ingerir cetonas exógenas ayude a perder peso y % de grasa, si es cierto que esta ingesta disminuye el apetito, pero por otro lado puede tener una efecto de inhibir la lipolisis (estudio)

Resumen

  • Los hidratos de carbono y sobre todo el azúcar, no son imprescindibles para la vida, ni la única fuente de energía de nuestro cerebro. Si fuera así, posiblemente nuestra especie se habría extinguido hace mucho tiempo
  • La dieta cetogénica puede tener grandes beneficios en la salud metabólica, control del peso, tratamiento oncológico y enfermedades neurodegenerativas.
  • Una dieta cetogénica de forma temporal nos permite mejorar la flexibilidad metabólica, permitiendo ser más eficientes en la oxidación de grasa
  • No solo podemos conseguir producir cuerpos cetónicos mediante dieta, siendo deportista veo mucho más sencillo y efectivo combinar el ayuno intermitente con el ejercicio de baja intensidad para potenciar sus beneficios y conseguir mejorar la composición corporal
  • Los niveles adecuados de cetonas no son fáciles de conseguir, sobre todo si eres deportista de resistencia y bajo nivel de porcentaje de grasa. No debemos obsesionarnos con llegar a los niveles ideales de 1,5 a 3 mmol/L
  • Ingerir cetonas externas puede tener efectos beneficiosos en la salud y el efecto saciante, pero no parece ser la mejor opción para mejorar la composición corporal al inhibirse la lipolisis.

Mejora del Rendimiento: ¿Entrenamiento en altura o en calor?

La investigación actual muestra que hay dos métodos en los que, mediante adaptaciones fisiológicas al ambiente, se puede aumentar el rendimiento gracias a cambios hematológicos. Una es el clásico entrenamiento en altura y la otra más novedosa, los entrenamiento en calor.

La elección de uno u otro puede depender de las adaptaciones necesarias de cara a la competición. Es decir, si en las pruebas que vamos a realizar incluyen alturas elevadas, la elección correcta sería el entrenamiento en hipoxia. Pero si por el contrario la competición se realiza en un clima cálido, sería más adecuado realizar entrenamientos en calor. Ambas formas de entrenamiento buscan el mismo objetivo: Mejorar el transporte de oxígeno y el VO2max

VO2max = Masa de Hemoglobina

El VO2max mejora con entrenamiento, pero las concentraciones en altura y como veremos también la exposición calor, lo pueden conseguir al aumentar la masa total de hemoglobina.

Se ha podido comprobar que un cambio de 1gr de masa de hemoglobina está asociado a un incremento de aproximadamente 4ml/min de VO2max (estudio). Lo que supondría para deportistas de aproximadamente 70kg y con incrementos habituales de unos 35gr totales en masa de hemoglobina en tres semanas, una elevación de 2ml/kg/min en su VO2max relativo.

Pero no es lo mismo hablar de masa de hemoglobina (cantidad total que tenemos en el cuerpo), que concentración de hemoglobina (cantidad de hemoglobina en un determinado volumen de sangre). La masa de hemoglobina esta directamente relacionada con el VO2max, pero no la concentración.

Una analítica nos servirá de poco, ya que falta un dato muy importante, la cantidad de sangre total. Conocer la concentración de forma exclusiva no tiene utilidad real de cara al rendimiento. Además, un deportista puede sufrir grandes alteraciones del volumen plasmático debido al entrenamiento que pueden generar confusión. Deshidratación como efecto agudo tras una sesión con alta sudoración o aumento de volumen plasmático como adaptación tras varias sesiones, que pueden variar de forma considerable la concentración de hemoglobina. Para determinarlo de forma precisa solo se puede realizar mediante un método denominado reinhalación de CO2 y no es habitual https://detalo-health.com/

Entrenamientos en altura

Como podemos ver en este ejemplo realizado con grupos de 475 niños y adolescentes, los que tienen mayores niveles de VO2max son los entrenados y especialmente los que viven en altura (2600m). Mientras que los valores mas bajos son para los no entrenados que viven a menos altura y tienen menos masa de hemoglobina (estudio).

Según un reciente meta-estudio sobre concentraciones en altura, hay una alta variabilidad de efectos en una concentración en altura sobre la masa de hemoglobina (estudio). Incluso los efectos pueden ser totalmente diferente de una concentración a otra en un mismo sujeto.

No se puede clasificar a los deportistas como respondedores o no respondedores, sino controlar los numerosos factores que afectan a la respuesta de este estimulo de hipoxia:

1. Altura (estímulo externo)
2. Saturación (respuesta interna)
3. Horas acumuladas de exposición
4. Niveles de hierro y vitamina D
5. Nutrición y suplementación
6. Relación carga de entrenamiento con descanso (HRV)

La masa de hemoglobina aumenta de media un 1% cada 100h de exposición a altitud adecuada (estudio). Por lo que, en concentraciones en altura bien realizadas de unas 3 semanas (aprox 400h a +2200m) pueden suponer un aumento de un 5-6% de la masa de hemoglobina (estudio). Incluso en algunos casos se han mostrado beneficios superiores, de hasta un 7,2% en 25 nadadores (estudio).

Pero para conseguir el éxito hay que hacer las cosas bien y controlar parámetros que muchos no tienen en cuenta en una concentración en altura. Si quieres más información te recomiendo este curso para sacar el máximo potencial a tu próxima concentración en altura.

Entrenamientos en calor

Con entrenamientos en calor también se puede incrementar la masa de hemoglobina y por tanto el VO2max.

Ya en la década de los años 50 se comprobó que el volumen plasmático aumenta durante el verano cálido y disminuye durante las épocas frías, haciendo un proceso estacional (estudio). Curiosamente la mayoría de los deportistas consiguen sus mejores marcas en épocas de calor y parece que no es casualidad.

Realizar entrenamiento de resistencia diario en condiciones de calor puede suponer un aumento de aproximadamente un 6% del volumen plasmático en solo 10 días. Pero una exposición mas prolongada, de 5 semanas o más, supone además un aumento de la masa de hemoglobina (estudio).

Incluso se ha comprobado que estos efectos no solo presentan mejoras en parámetros sanguíneos, sino también en rendimiento en pruebas como vatios máximos en test incrementales, intensidad a 4mmol/L de lactato o crono de 15min (estudio). Y además comprobando que estas mejoras se realizaban con la misma carga de entrenamiento con el grupo de control y sin tener beneficios en valoración de fuerza.

Los efectos de los entrenamientos en calor son mas duraderos que en hipoxia, ya que incluso tras 3 semanas de abandonar o reducir considerablemente el estímulo y a pesar de perder volumen plasmático, los niveles de masa de hemoglobina se mantienen (estudio)

Aunque algún estudio reciente ha mostrado que las sesiones de calor pasivo no muestran cambios en la masa de hemoglobina (estudio). Otros más antiguos si han comprobado incrementos de volumen plasmático y volumen sanguíneo total relacionados con el aumento de rendimiento (estudio)

En otros no se han medido parámetros sanguíneos, pero si se han mostrado beneficios en rendimiento deportivo en solo tres semanas si estas sesiones de calor pasivo se realizan en post-entreno (estudio)

Las sesiones de calor no necesitan medios complejos, se pueden realizar incluso con traje térmico en condiciones de normo temperatura (bien abrigados con prendas que no evacuen el calor, gorro, etc.) y según esta investigación tienen el mismo efecto positivo en el aumento de volumen plasmático y de masa de hemoglobina.

Pero además el entrenamiento en calor aporta beneficios adicionales en el transporte de oxígeno como muestra este estudio con beneficios importantes en una sola sesión:

  • Elevación de producción de óxido nítrico (aproximadamente un 25%)
  • Desplazamiento a la derecha de la curva de oxihemoglobina, disminuyendo la afinidad de la hemoglobina al oxígeno y facilitando la liberación de oxígeno a los tejidos
  • Incremento de un 10% del p50 (valor de presión parcial de oxígeno necesario para conseguir 50% saturación de hemoglobina)
  • Elevación de concentración de oxígeno en sangre venosa de más de un 50%

Diferentes medios, mismos resultados

Cuando se realiza un trabajo en hipoxia se produce un aumento de EPO por los riñones regulado por el factor inducible por hipoxia (HIF) con el objetivo de mantener los niveles de presión de oxígeno constantes en sangre. Los niveles de EPO pueden elevarse hasta 1000 veces por encima de los niveles habituales, consiguiendo un rápido aumento de la cantidad de glóbulos rojos y niveles de hematocrito (estudio)

Sin embargo, los efectos del entrenamiento en altura son rápidamente reversibles y tras abandonar el estímulo de hipoxia se vuelve a los valores iniciales. Aunque no hay datos concluyentes y todavía hay controversia, se ha podido comprobar en algunas investigaciones que estos valores elevados se pueden mantener menos de dos semanas (estudio) o en otros hasta las 3 semanas (estudio)

Al parecer justo al dejar el estímulo de hipoxia, se reducen súbitamente los niveles plasmáticos de EPO, y en muchos casos se produce una neocitólisis (hemolisis selectiva de eritrocitos jóvenes) con el fin de adaptarse a las nuevas condiciones ambientales (estudio). Además, en condiciones de altura se suele presentar una hemoconcentración debido una disminución de volumen plasmático por una mayor ventilación, pérdida de agua en orina o incluso por un cambio al espacio extravascular (estudio). En estas condiciones nos podemos encontrar con un incremento importante de hematocrito (parte sólida de la sangre) y de la concentración de hemoglobina, pero realmente un menor rendimiento.

Sin embargo, los entrenamientos en calor provocan una expansión del volumen plasmático de entre 3 y 27% en los primeros días de exposición (estudio). Como hemos visto supone un estímulo eritropoyético y de aumento de masa de hemoglobina, esto parece deberse precisamente para evitar un descenso acusado del hematocrito (estudio).

Según un metaanálisis reciente, con entrenamientos específicos en calor y de 5 a 60 sesiones se puede mejorar el VO2max.

La base fisiológica para entender este concepto es la Teoría de Critmeter desarrollada por Donnelly (2001). En ella se considera que el riñón controla el hematocrito (la referencia importante) ajustando el volumen plasmático y la producción de EPO para conseguir el equilibrio adecuado en función de los estímulos recibidos. Es decir, ante un estímulo de hemodilución y disminución del % de hematocrito con entrenamientos en calor, se producirá en segundo lugar un incremento de EPO que suele coincidir a las 2 semanas (estudio)

Sin embargo, es necesario tomar tiempo para conseguirlo. Algunas investigaciones actuales promueven incluso 5 sesiones de calor semanales y esto puede acelerar el aumento de masa de hemoglobina.

Pero si realizamos este planteamiento debemos tener precaución con una adecuada rehidratación. Puesto que una rápida pérdida de peso por deshidratación, como la que se realiza en deportes en las que el peso es muy importante, puede suponer incluso una disminución del rendimiento. Como vemos en este estudio realizado con 17 boxeadores, una pérdida de un 5% de masa corporal por deshidratación supone un descenso del volumen plasmático de 8,6% y de un 5,3% de masa de hemoglobina. Incluso la valoración realizada a posteriori una vez recuperado el peso perdido seguía mostrando que la masa de hemoglobina era inferior a la que se tenía de base.

Otra investigación similar muestra resultados muy similares. Pero además controla otros parámetros como la EPO, ferritina y bilirrubina, mostrando que en la fase de descenso de peso y deshidratación se generan alteraciones importantes en la eritropoyesis (estudio). El estímulo de deshidratación controlada y rápida rehidratación tras el estímulo parecen tener gran importancia en este proceso de aumento del rendimiento.

Resumen:

  • El entrenamiento en hipoxia (concentración en altura) puede suponer un rápido incremento de la masa de hemoglobina de hasta un 5-6% en unas tres semanas (estudio)
  • El entrenamiento en calor puede ser un método más sencillo para conseguir mejoras hematológicas. Pero es necesario un periodo más amplio de tiempo para conseguir beneficios, con una media de 5-6 semanas y unos incrementos no tan elevados (aproximadamente 3%)
  • El entrenamiento en hipoxia supone un rápido cambio de niveles de hematocrito y aumento de la masa de hemoglobina. Sin embargo, el entrenamiento en calor necesita dos fases, una inicial con incremento de volumen plasmático y una segunda de aumento en la masa de hemoglobina para equilibrar el hematocrito con efectos más duraderos que en los entrenamientos en hipoxia (estudio)
  • El entrenamiento en calor puede realizarse también de forma pasiva (sauna o baño de calor), siendo ideal en post-entreno, cuando el cuerpo tiene una temperatura interna más elevada
  • Los entrenamientos en calor activo pueden realizarse de forma económica utilizando ropa de abrigo para evitar disipar el calor
  • Podemos suponer que la combinación de estímulos en una misma sesión puede suponer mayores beneficios, pero parece es asi (estudio). A pesar del mayor estrés fisiológico y percepción de esfuerzo, el estímulo combinado no aporta ningún beneficio adicional (estudio). Mejor separar cada estimulo en diferentes sesiones para optimizar resultados
  • Un planificación de ambos estímulos puede suponer, no mejores resultados, pero si un mantenimiento mucho más prolongado de los efectos de ambas opciones por separado

Economía de carrera y Stifness

En el número 105 de la revista Sportraining Cristina Loring y yo, publicamos un artículo muy interesante sobre la posibilidad de mejora del rendimiento en deportes de resistencia mediante economía de carrera.

Suele ser un parámetro desconocido para muchos corredores y en muchos de ellos una potencial mejora sobre todo en pruebas de larga duración. Mejorar la economía de carrera nos permite mejorar resultados, sin tener que soportar un mayor gasto metabólico. Os contamos como conocerlo y como mejorarlo si es un punto débil.

Suplementos de hierro

La suplementación con hierro es muy habitual el mundo del deporte de resistencia, pero también en la población general.

Tras realizar una analítica y teniendo alguno de los parámetros relacionados con el metabolismo del hierro bajo, comenzamos de forma inmediata la suplementación, considerándolo como algo positivo e inocuo. Pero es incluso peor, cuando viendo como funciona el marketing y sin saber en qué situación estamos, compramos estos productos pensando que dejaremos de sentirnos cansados y agotados. Aunque la mayoría de las veces pasa por exceso de estrés, no dormir lo suficiente, no respetar los ritmos circadianos viendo las series de moda durante la noche o muchas cosas más que no queremos cambiar.

Lo fácil es tomar una pastilla que nos solucione el problema rápidamente. Cuando se trata de algo inofensivo, solo perderemos dinero. Pero en el caso del hierro hay evidencias de que la utilización de esta suplementación cuando no es necesaria puede tener consecuencias negativas y riesgos importantes para la salud (estudio)

¿Anemia o Falsa Anemia?

Antes de suplementarse es necesario saber si en realidad padecemos realmente anemia. Sobre todo, si somos deportistas podemos sufrir cambios a la hora de interpretar una analítica. El efecto inmediato tras un entrenamiento es una hemoconcentración, pero la respuesta crónica es aumentar el volumen plasmático y por tanto se reduce la concentración.

Este efecto pude generar datos de “falsa anemia del deportista”, ya que en una analítica solo obtenemos un pequeño % de sangre y si esta es más diluida, la concentración (el dato que obtenemos) será inferior.

Según Urdampilleta en la verdadera anemia se deben mostrar bajos los siguientes cuatro parámetros:

Hemoglobina, Saturación de transferrina, Ferritina y Hepcidina

Solo en ese caso sería necesario utilizar suplementación con hierro

Niveles excesivos de hierro

Todos conocemos la parte positiva de la suplementación con hierro, pero pocos conocen el lado negativo de este mineral en la salud.

Es cierto que las células deben mantener una cantidad suficiente de hierro para realizar funciones tan importantes como el transporte de oxígeno (hemoglobina), la biosíntesis de ADN y la generación de ATP. Sin embargo, un exceso de este mineral puede provocar un exceso de estrés oxidativo y además iniciar vías de señalización de supervivencia y muerte celular (estudio). Según algunas teorías el hierro acelera el envejecimiento (estudio, estudio)            

Para mantener este equilibrio tan importante para nuestra salud existe un complejo proceso de metabolismo del hierro en el que están relacionados una amplia variedad de genes. Una particularidad del hierro es que, a diferencia de otros minerales y nutrientes relacionados con la salud, la capacidad de nuestro organismo de eliminarlo es muy limitada (estudio). Solo disponemos de una hormona especial para frenar la absorción de hierro, la Hepcidina y un transportador de hierro celular llamado Ferroportina, pero ningún mecanismo para eliminarlo del cuerpo, excepto las pérdida naturales de 1-2mg día por la descamación de la piel. Por lo que tener un exceso puede suponer un verdadero problema que no es fácil de solucionar.

Problemas de salud por exceso de hierro

La sangría fue una de las prácticas médicas más utilizadas hasta finales del siglo XIX, aunque actualmente solo se utiliza en enfermedades muy concretas como hemacromatosis, policitemia o porfiria hepatocutanea. Sin embargo, se ha observado una disminución de los niveles de estrés oxidativo, riesgo de patologías cardiovasculares, cáncer y mortalidad en general en los individuos donantes de sangre habituales (estudio, estudio)

Hace algún tiempo la ONU envío una misión para valorar el estado de salud de la tribu Masai y detectaron anemia generalizada. Tratando de solucionar este problema, administraron hierro a los sujetos para tratar de conseguir valores de hemoglobina y hematocrito normales. Pero esta “solución” solo implico un aumento de la mortalidad por tuberculosis, parasitosis y otras enfermedades infecciosas.

En este caso tener una anemia era un fenómeno adaptativo y protector, ya que muchas bacterias y parásitos son muy sensibles a la falta de hierro. Ante una infección se pierde el apetito por alimentos ricos en hierro y además el intestino reduce su absorción (video muy interesante). Los estados patológicos de sobrecarga férrica modifican la delicada homeostasis del hierro y aumentan la disponibilidad libre en el organismo, favoreciendo el desarrollo de determinadas infecciones (estudio). Un déficit puede impedir o dificultar el desarrollo de patógenos, mientras que un exceso favorece las infecciones y su gravedad (estudio).

En condiciones fisiológicas, el hierro extracelular se encuentra ligado a la transferrina, que además de transportar el hierro a través del plasma, lo mantiene soluble y «prácticamente» no-tóxico. Pero en situaciones de sobrecarga de hierro, se satura la capacidad de unión con la transferrina. Este hierro no ligado a transferrina se internaliza en tejidos, a través de mecanismos poco definidos que originan daño celular.

Varios autores indican que incluso una sobrecarga moderada de hierro puede provocar un aumento del estrés oxidativo. Esto puede ser un factor de riesgo de múltiples enfermedades crónicas frecuentes en la población como patologías cardiovasculares (estudio, estudio, estudio) y cáncer (estudio, estudio, estudio)

Hay una alta asociación entre niveles elevados de hierro y marcadores de inflamatorios (estudio).

También parece que el hierro puede estar involucrado en procesos ateroscleróticos provocando la oxidación del LDL (estudio). Siendo uno de los verdaderos problemas relacionados con el colesterol y la salud cardiovascular, no los niveles de este como vimos en otra entrada

Incluso parece existir una asociación importante entre el crecimiento y supervivencia del cáncer y el metabolismo del hierro. Una mayor acumulación de hierro en el tumor favorece la proliferación celular de este (estudio). Según algunos artículos, la relación entre Ferroportina y niveles de hepcidina pueden ser buenos indicadores de tasa de supervivencia. Niveles elevados de ferroportina y bajos de hepcidina suponen un pronóstico muy favorable demostrados en varios tipos de cáncer como mama, próstata y mielomas (estudio, estudio, estudio, estudio)

Según algunos autores la inducción de estrés oxidativo por parte del hierro combinado con una defectuosa capacidad antioxidante del organismo promovería la muerte neuronal y la neurodegeneración (estudio). Sin embargo, no se ha establecido aún si la acumulación del hierro en el cerebro es el proceso desencadenante de la enfermedad o si es un efecto secundario. Aunque si se han comprobado altas concentraciones de hierro en el cerebro de pacientes con enfermedad de Alzheimer (estudio), Parkinson (estudio), y otras enfermedades menos comunes como enfermedad de Huntington o ataxia de Friedreich (estudio).

¿Cómo saber si tenemos un exceso de hierro?

Durante los primeros 40 años de vida los almacenes de hierro suelen ser relativamente normales, y empezar a desarrollar la sobrecarga de hierro significativa y el daño orgánico a partir de la quinta década (estudio). También parece que el riesgo de exceso de hierro es mas elevado en hombres que en mujeres, debido a que la menstruación ejerce un papel protector. Aunque a partir de la sexta década la diferencia entre sexos desaparece completamente (estudio).

El método de referencia para la evaluación directa de los depósitos de hierro con una resonancia magnética hepática, ya que aproximadamente un 70% del hierro se almacena en este órgano (estudio). Pero con una buena analítica se puede determinar teniendo en cuenta estos marcadores:

  • Hierro sérico: Normalmente representa menos del 1% del hierro corporal. Además, interpretar de esta manera los niveles de hierro puede llevar a error por las grandes fluctuaciones debido a ritmos circadianos (por la noche puede disminuir hasta un 30%) y la ingesta de alimentos puede suponer un aumento en la etapa postprandial. Incluso estos niveles pueden variar por menstruación, lactancia o incluso en procesos inflamatorios y víricos.
  • Ferritina: Indica con una alta fiabilidad el déficit de hierro, pero no ofrece una información fiable del exceso, ya que puede variar de forma significativa en presencia de inflamación o procesos tumorales. Aunque algunas investigaciones si han mostrado una alta correlación entre valores elevados de ferritina e hipertensión (estudio, estudio). Otros estudios indican que valores superiores a 100 μg/L se relacionan con síndrome metabólico (elevados niveles de glucosa y triglicéridos)
  • Saturación de transferrina: La transferrina es la proteína encargada de transportar el hierro en el plasma y puede indicar con cierta precisión estados carenciales de hierro, pero no del exceso. La cantidad que se incluye en la sangre es pequeña y en solo 3h puede renovarse, variando rápidamente su concentración (estudio). Sin embargo, la saturación de transferrina (porcentaje de sitios de unión de la transferrina ocupados por el hierro) es uno de los marcadores que pueden tener mayor correlación. Según algunos autores, valores superiores a 45% en hombres y 40% en mujeres pueden indicar ese temido exceso (estudio). Este valor de saturación de transferrina elevada (>45%) puede detectar hasta un 98% de los sujetos con sobrecarga de hierro (estudio).
  • Hepcidina: Esta hormona se produce en el hígado, no fue descubierta hasta el año 2000 y un año más tarde su pudo relacionar con el metabolismo del hierro (estudio). Un exceso conduce a una restricción en la absorción y mecanismos de reciclado (estudio). Es un marcador importante como respuesta a la sobrecarga de hierro. Aunque no para anemias, ya que sus valores pueden estar elevados por inflamación (estudio) o incluso tras entrenamientos de intensidad alta/moderada (estudio). Esta tiene un pico de producción a las 3h post-ejercicio y puede mantenerse elevada hasta 12-24h y más aún con carencias de hidratos de carbono (articulo). En cuanto a valores de normalidad parece que aún no hay consenso, incluso se puede determinar de diversas formas. En un principio solo en orina, pero ahora también se puede determinar en sangre (estudio). Pero si debe diferenciarse según el sexo siendo más elevado en hombres: 2,1-15,1 nM (media de 7,2 nmol/L) y mujeres: 1,6–15,6 nM (media de 5,5 nmol/L) (estudio)

¿Debemos utilizar suplementos de hierro?

Quizá la suplementación con hierro no sea necesaria en muchos casos, incluso en algunos podría producir mas perjuicio que beneficio. Seguramente que no sea la solución para disminuir el cansancio y la fatiga.

Además, se ha podido comprobar que la ingesta de suplementos de hierro puede provocar efectos secundarios en el intestino, con destrucción de células epiteliales, inflamación intestinal y cambios negativos en el microbioma (estudio, estudio)

Pero vamos a ver la realidad de la población, ya que la mayoría pensará que tener un déficit es lo más habitual y puede merecer la pena padecer estos efectos secundarios.

En un estudio sobre la población catalana con 1296 sujetos sanos, se pudo comprobar algo que nos puede sorprender, la sobrecarga de hierro era más prevalente que el déficit. Un 9.3% de la población adulta (14.7 % los hombres y 3.8 % las mujeres) presentaban sobrecarga férrica importante con valores de ferritina sérica superior a 300 µg/l y 200µg/l en hombres y mujeres respectivamente. En mayores de 50 años este porcentaje fue aún mayor, llegando al 20,4% de los hombres y 9,4% de las mujeres.

En una interesante tesis sobre 815 individuos elegidos al azar de tres municipios de Tarragona, se pudo comprobar algo similar. Un 25,3 % de los sujetos presentan algún tipo de sobrecarga de hierro (un 15,4% de las mujeres y un 36,1% de los hombres). Aunque la sobrecarga severa era mas acentuada en los sujetos de mayor edad, la moderada era más elevada en hombres de 30 a 44 años. Mientras el déficit de hierro en hombres no llegaba al 2% y en mujeres un 13,5%, especialmente en grupo de 30 a 44 años, justo a la inversa que en los hombres.

Además, en una investigación realizada durante una década en la población danesa se observo que la sobrecarga de hierro de los mismos sujetos aumento del 11,3 al 18,9% en hombres y en mujeres posmenopáusicas del 2,4 al 5,5% (estudio).

¿Cuándo tomar suplementos de hierro?

En primer lugar, debemos haber aprendido que no siempre debemos tomar suplementos y que puede suponer un riesgo para nuestra salud si no son necesarios.

 Si no lo tenemos seguro, es preferible hacerlo de forma natural con alimentos ricos en hierro y optimizando las condiciones para absorberlo. Ideal que junto al hierro utilicemos vitamina C y evitemos algunas sustancias inhibidoras como los fitatos (cereales, semillas, etc.), fibra insoluble (salvado, cacao, etc.), algunos minerales como calcio y fosforo (presentes en lácteos, frutos secos, etc.) y bebidas gaseosas o con cafeína/teína (estudio)

Si realmente es necesario, es preferible realizar una suplementación en días alternos, ya que los suplementos orales inducen un aumento de la hepcidina que persiste durante 24h, lo que disminuye sustancialmente la absorción si se realiza una nueva ingesta al día siguiente (estudio, estudio).

La ingesta debería realizarse en días de descanso o al menos antes del ejercicio, para evitar que la hepcina producida tras el entrenamiento disminuya la absorción. Y también intentando que esos días de ingesta no sea en condiciones low carb.

Los mejores suplementos de hierro

Tenemos dos opciones:

  1. Complementos alimenticios: Basados en productos de origen natural, nos son los más eficaces, pero no suelen presentar efectos secundarios. Una de las mejores opciones es la levadura cultivada en medio ferroso acompañada de vitamina C (Ferrisor) (Koji)
  2. Suplementos químicos: En este caso tenemos muchas opciones con diversa formulación, pero parecen ser más eficientes las sales en forma ferrosa (Fe II), en lugar de hierro férrico (Fe III) no en concepto de hierro elemental. Aunque se consideran medicamentos no suelen necesitar receta, por lo que es posible que en algunos casos haya abuso. Además, pueden provocar efectos secundarios como dolor abdominal, náuseas, diarrea o estreñimiento.

Tipos de suplementos más habituales:

  • Gluconato Ferroso (1gr = 12% hierro elemental). Es uno de los suplementos más utilizados y también se utiliza como agente conservador, siendo uno de sus usos mas comunes para mantener el color de las aceitunas negras
  • Lactato Ferroso (1gr = 19% hierro elemental). Se utiliza además de suplemento, como estabilizante y colorante alimentario.
  • Sulfato Ferroso (1gr = 20% hierro elemental). Es posiblemente el suplemento más utilizado. También se usa para enriquecer algunos alimentos
  • Fumarato Ferroso (1gr = 33% hierro elemental). Es de los suplementos con mayor cantidad de hierro elemental y de los favoritos para tratar anemias.
  • Bisglicinato de hierro (1gr= 20% hierro elemental).Parece que este formato tiene ventajas respecto a otras sales de hierro.
    • Su formulación protege al hierro de otros inhibidores de absorción en la dieta y es estable al exponerse al oxígeno ambiental, sin potenciar la oxidación lipídica (estudio)
    • El hierro de bisglicinato no comparte via de absorción con el hierro tipo hemo (artículo)
  • Hierro Hemo Polipeptido (HIP) con máxima absorción (extraído directamente de hemoglobina). Supera hasta más de veinte veces la absorción respecto a sales ferrosas (estudio) y tiene menos efectos secundarios que las sales de hierro.
  • Hierro liposomado unido a vitamina C parece ser una de las mejores opciones a nivel de biodisponibilidad y disminución de efectos secundarios (estudio, estudios clínicos)

Conclusiones:

  • Antes de suplementar con hierro asegurarnos si realmente es necesario hacerlo, confirmando que los niveles son bajos en concentración de hemoglobina, saturación de transferrina, depósitos de ferritina (↓20 ng/ml) y hepcidina.
  • Un aumento de hierro libre puede favorecer infecciones y aumentar su gravedad.
  • El exceso de hierro incluso moderado produce un incremento del estrés oxidativo actuando como un factor de riesgo promotor de estas enfermedades crónicas como síndrome metabólico, cáncer o enfermedades neurodegenerativas
  • Tener niveles de ferritina superiores a 100 μg/L, saturación de transferrina por encima del 45% y con hepcidina elevada, es casi seguro que tengamos una sobrecarga de hierro y un potencial peligro para nuestra salud
  • Hasta un 25% de la población puede tener sobrecarga de hierro, especialmente probable en hombres y con mayor incidencia en personas de mayor edad
  • Es preferible realizar la suplementación con hierro junto a vitamina C y en días alternos, en vez de consecutivos. No prolongar mas de 2/3 semanas para evitar efecto rebote con un exceso de producción de hepcidina y complicar mas aún estados carenciales
  • Si vamos a ingerir suplementos de hierro, es importante evitar el efecto de la hepcidina, por lo que no tomar en post-entreno y situaciones low carb ya que esta hormona estará elevada
  • Los mejores suplementos de hierro son los naturales, incluidos en la dieta y en suplementos, aunque el incremento de hierro será más lento, no se elevará tanto el hierro libre en sangre, ni debería incrementarse la hepcidina de forma excesiva
  • En caso de necesitar un aumento rápido, las sales de hierro parecen ser la peor opción por la baja absorción, efectos secundarios e incluso aumento del estrés oxidativo intestinal.
  • Es preferible utilizar hierro liposomado o hemo polipéptido que suponen mayor eficacia en la prevención de déficit de hierro. Aquí tienes alguna recomendación

AMPK y efectos del vinagre en la salud metabólica

La proteína cinasa activada por AMP (AMPK) es un complejo enzimático que se activa con los cambios de concentración ATP (nuestra principal fuente de energía) y AMP, pudiendo considerarse como un sensor energético.

Cuando hay una disminución de energía celular y por tanto de ATP, la AMPK incrementa el catabolismo de nutrientes para favorecer la resíntesis y generación de ATP. Aunque puede parecer negativo, estos procesos nos permiten optimizar los recursos metabólicos que disponemos para ser más eficientes en la obtención de energía en el futuro.

La AMPK está presente en la mayoría de los órganos, tejido muscular e incluso en las células adiposas, hipotálamo y cerebro. Cuando hay carencias energéticas, se activan una serie de procesos para obtener energía donde sea que pueda encontrarse y permitir la supervivencia de la célula. Estos procesos pueden incluir estimular el apetito, pero también facilitar la glucolisis, la entrada de la glucosa a los tejidos, mejorando la sensibilidad de la insulina, o aumentar la oxidación de ácidos grasos (estudio). Pero también puede fomentar los necesarios procesos de autofagia (estudio, estudio) que como ya vimos en otra entrada supone grandes beneficios en la salud y longevidad

Activar AMPK promueve un ambiente metabólico favorable para prevenir la diabetes y la obesidad, incrementar la longevidad, disminuir problemas cardiovasculares o prevenir algunos tipos de cáncer y patologías neurodegenerativas (estudio). Es decir, activar este complejo enzimático de la manera adecuada (no a todas horas), puede suponer grandes beneficios en deportistas de resistencia y sujetos con patologías metabólicas.

Como activar AMPK

Se puede activar por una gran variedad de condiciones que supongan estrés celular y disminución de las concentraciones de ATP

  • Ejercicio físico, sobre todo el de alta intensidad al suponer una mayor demanda de ATP (estudio)
  • Restricción calórica y ayuno intermitente (estudio, estudio)
  • Exposición al frio, pero no en exposición aguda, sino cuando es crónica (estudio)
  • Entrenamientos en Hipoxia (estudio)
  • Algunas sustancias y suplementos como el resveratrol, curcumina, quercetina, etc. (estudio)

A medida que envejecemos los niveles de AMPK disminuyen (estudio), por lo que a medida que cumplimos años debemos dar cada vez más importancia a tratar de aumentar su activación. Ya que además de control de patologías metabólicas supone un mecanismo de defensa contra los radicales libres, el envejecimiento y la inflamación (estudio).

Vinagre activador de AMPK

El vinagre es un líquido con sabor agrio que proviene de la fermentación acética del alcohol. La familia de bacterias acetobacter tienen la capacidad de convertir cualquier líquido que contenga alcohol en ácido acético, aunque los más habitual es vinagre el de vino o sidra de manzana, se puede obtener también de cerveza, licores de arroz, frutas, caña, etc.

El vinagre es ácido acético diluido en agua. Normalmente esta cantidad se expresa como el grado de acidez y suele encontrarse entre 4% y 9%.

Esta sustancia tiene muchos usos además del gastronómico como:

  • Conservante
  • Antibacteriano
  • Quitamanchas
  • Limpia cristales
  • Repelente de insectos
  • Etc.

Pero lo que es menos conocido es su potencial beneficio en la salud metabólica y es lo que vamos a conocer en este artículo.

El ácido acético parece activar de manera indirecta AMPK ya que el proceso de metabolizar el acetato genera AMP y favorece el balance AMP respecto ATP, indicando a la célula que necesita energía (estudio). Sin embargo, estos efectos no permanecen mucho tiempo después de consumirlo, por lo que su efecto puede resultar bastante modesto y hay otras opciones mucho mas interesantes para fomentar esta activación.

Beneficios del vinagre para la salud

  • Disminución de glucosa en sangre y mejora sensibilidad insulina

Según algunos artículos el consumo de vinagre en una comida rica en HC puede suponer una reducción de la respuesta de la glucosa en sangre de aproximadamente un 20-30% (estudio). Utilizar 1-2 cucharaditas de vinagre en una comida con un índice glucémico elevado (pan blanco o arroz blanco) reduce entre un 25% y 35% los niveles de glucosa en sangre (estudio).

Podría ser una excelente opción para acompañar a comidas que supongan un riesgo de hiperglucemia. Pero además se ha podido comprobar que en sujetos con riesgo de síndrome metabólico la ingesta de vinagre durante 8 semanas en una dieta controlada suponía una mejora de un 8,3% en la sensibilidad a la insulina. Sin embargo, el grupo de control supuso un aumento de la resistencia a la insulina del 9,7% en las mismas condiciones (estudio)

Sin embargo, merece la pena decir que el área bajo la curva de la glucosa en sangre 2h después de la comida no era diferente entre el grupo que consumió vinagre y el que no (estudio)

  • Pérdida de peso y aumento de saciedad

Hay pocos estudios que muestren un verdadero efecto de pérdida de peso con vinagre, por lo que, aunque suene muy tentador, hay mejores opciones. Pero en este estudio con 155 sujetos obesos se consiguió en 12 semanas una pérdida de peso de 1,2kg en el grupo que consumía 15ml/día y 1,9kg en el de 30ml/día, mientras el grupo placebo mantuvo peso.  Es interesante destacar que la pérdida de peso era en las zonas correctas ya que la valoración con tomografía computarizada mostro que existía una reducción del tejido adiposo visceral.

Otra investigación ha mostrado unos efectos similares en 8 semanas con disminución de la grasa visceral en 78 mujeres con sobrepeso, pero además se pudo comprobar un mayor fosforilación de AMPK (estudio)

Además, merece la pena decir que el consumo de vinagre ejerce un efecto de mayor saciedad (estudio). Aunque también puede suponer una mayor dificultad de vaciado gástrico (estudio) que debemos tener en cuenta si tenemos digestiones pesadas o vamos a realizar ejercicio después de la comida.

  • Propiedades anticancerígenas

El vinagre promueve la apoptosis y supone una ayuda en el tratamiento de varios tipos de cáncer por inhibir la proliferación celular (estudio) recomendado dosis de tan solo 15ml (una cucharada sopera) al día. Según otra investigación el mejor tipo de vinagre es el de Kurosu (vinagre de arroz japones tradicional), con mayor capacidad antioxidante y antitumoral que los más conocidos vinagres de vino o de manzana (estudio)

  • Efectos antinflamatorios y disminución presión arterial

Se ha demostrado que la ingesta de vinagre produce vasodilatación porque el ácido acético produce un aumento de óxido nítrico dependiente de la dosis (estudio) de más de 1,5 veces respecto al grupo placebo. Según este mismo estudio se produce además de una forma bifásica. El mayor pico se alcanza a los 20min, probablemente a través de PKA y una fase de elevación tardía (2-4h) por AMPK

  • Mejora del estado de ánimo y salud mental

Solo existe hasta el momento un estudio que haga una referencia clara sobre este beneficio. Pero parece una investigación realizada con un gran control que incluso analizaba metabolitos en orina, ha mostrado grandes cambios en 27 estudiantes universitarios con depresión moderada a severa. La conclusión es que tras 4 semanas ingiriendo 1,5gr de ácido acético vs un grupo control, se aumentó la producción de 17 metabolitos relacionados con el metabolismo de aminoácidos y ácidos grasos que parecen influenciar en el estado anímico. Además, se mostró una reducción de 20-34% en los cuestionarios de depresión mientras en el grupo de control se encontraron ligeros incrementos (estudio)

  • Disminución de riesgo de piedras renales

La evidencia epidemiológica con más de 9000 personas sugiere que la ingesta diaria de vinagre disminuye el riesgo de cálculos renales (estudio). El vinagre puede reducir la formación de cristales de oxalato de calcio, al menos en estudios in vitro, modelos animales y con esta revisión epidemiológica. Parece ser que el ácido acético regula la excreción de citrato y calcio.

Esta patología tiende a ser recurrente hasta en un 50% de los casos, por lo que si la has padecido puede ser una buena herramienta para disminuir el riesgo potencial de sufrir una nueva crisis.

¿Qué tipo de vinagre debo tomar?

Normalmente el ácido acético que contiene el vinagre es de un 5-6%, aunque no todas las marcas llegan a esos niveles (articulo). Por lo que a mayor cantidad de ácido acético mayores beneficios en la activación de AMPK.

Pero no solo es importante el ácido acético, sino que algunos vinagres tienen sustancias antioxidantes con un aporte extra para la salud. Y además el vinagre que viene de productos con sustancias como las uvas, manzana, frutas o de espino parecen especialmente beneficiosas. Este último parece tener una gran capacidad antioxidante (estudio). Sin embargo, varios estudios han mostrado un mayor potencial antioxidante al vinagre de uva (el más conocido y utilizado en España) respecto a otros como el de manzana que pueden sonar más saludables (estudio, estudio)

Pero aún más importante es forma de producirlo, ya que puede suponer grandes cambios en su composición. La capacidad antioxidante de cualquier vinagre orgánico tradicional parece tener beneficios que los industriales no van a aportar al pasar por procesos químicos y de filtración (estudio). También será importante que no esté pasteurizado e incluso que no esté embotellado en plástico para mantener esas cualidades.

Merece la atención detenerse en un vinagre muy famoso, llamado “balsámico de Módena” por dos motivos, tener propiedades medicinales y producirse en las provincias de Módena y Reggia Emilia. Este vinagre tradicional necesita un mínimo de 12 años de envejecimiento (unos 450-500 euros el litro) y si es de mayor calidad, doblando el tiempo de envejecimiento, puede suponer cerca del doble del precio. Por eso parece raro que podamos encontrar en todos los supermercados este vinagre tan exclusivo, con precios 10 veces inferior. En estos casos puede que encontremos un vinagre de mucha peor calidad que otros más baratos, ya que incluye ciertos aditivos para conseguir aromas y colores similares, pero mucho menos saludables. En este articulo hay más información.

¿Cuál es la dosis recomendada?

Las dosis más habituales consisten en un mínimo de 5-10ml (1 a 2 cucharaditas de postre) hasta 15-30ml (1 a cucharadas soperas) al día. Algo a lo que debemos adaptarnos poco a poco ya que puede provocar problemas de vaciado gástrico y nauseas. Incluso descartar sus beneficios potenciales si tenemos problemas de digestión o estamos dentro de una prueba por etapas en la que necesitamos una reposición rápida de nutrientes.

En algún estudio se afirma que queda mucho por investigar para conocer las dosis adecuadas y además se deberían diferenciar según los diferentes tipos de vinagre. Otros afirman cantidades exactas como este estudio con una dosis de 28gr de vinagre (unos 29ml) que suponen aprox 1,4gr de ácido acético para mejorar el control glucémico.

En un reciente meta estudio con una revisión de 16 estudios demuestra una reducción de triglicéridos y niveles de glucosa en sangre, se consumían entre 750 mg y 3600mg de ácido acético. Pero parece que no se conoce aún la dosis mínima o adecuada para mejorar la salud o para cada tipo de patología.

Mucho mejor en forma líquida que pastillas, ya que la cantidad de ácido acético de estas últimas suele ser inferior (estudio). Pero incluso igualando la cantidad de ácido acético, parece que en formato pastillas los beneficios son mucho menores (estudio).

Consumir encurtidos puede aumentar la cantidad de ácido acético de la dieta, pero normalmente la cantidad es muy baja (articulo)

RESUMEN:

  • Activar AMPK es posiblemente la mejor forma de aumentar la salud metabólica y frenar efectos indeseados del envejecimiento. Aunque el artículo se centra en el vinagre, hay formas mucho más eficientes para activarlo y sobre todo mucho más duraderas en el tiempo, que ya hemos visto en otras entradas como el ejercicio de alta intensidad, el ayuno intermitente o pasar frío.
  • Hay bastantes evidencias que utilizar vinagre durante las comidas tiene dos grandes beneficios para mejorar la salud metabólica, disminuir los niveles de glucosa postprandial (después de comer) y aumentar la sensación de saciedad. Siendo un acompañante estrella en nuestras comidas para reducir glucemias descontroladas.
  • Según algunos artículos este efecto puede ser mayor que el de muchos medicamentos utilizados para controlar la diabetes, pero además sin tener efectos secundarios (articulo). Curiosamente en la búsqueda de información de este articulo me he encontrado con muchos artículos que desprestigiaban a esta sustancia y quitaban valor… Pero no voy a pensar mal sobre competencia a medicamentos y beneficios económicos
  • El aumento de activación de AMPK mediante el ácido acético tiene beneficios extra con algún tipo de vinagre, aumentando de forma sinérgica con propiedades antioxidantes de muchos de ellos si no son tratados en procesos industriales (efecto antinflamatorio, anticancerígeno y disminución de presión arterial)
  • Cuando el vinagre no está pasteurizado y filtrado puede ser una pequeña contribución a la mejora de la flora intestinal, que tiene mucha relación con la obesidad. Pero hay otras alimentos mucho mas eficientes en este sentido como vemos en esta entrada
  • Aunque no hay una dosis universal, la mayoría de las recomendaciones son desde 15 a 30ml (1-2 cucharadas soperas) al día, incluyéndolo mejor durante las comidas
  • Solo debemos asegurarnos de una buena higiene bucal tras su ingesta. El vinagre es bueno para la mayor parte del cuerpo, pero lamentablemente daña el esmalte de los dientes (estudio)

Hormesis y muerte celular, secreto de salud y longevidad

1. Hormesis y muerte celular

La hormesis podría definirse como la respuesta ante estímulos que nuestro organismo realiza para sobrevivir ante situaciones adversas. Si la dosis es adecuada obtendremos beneficios, pero si esta no existe o es excesiva tendremos efectos perjudiciales.

Para determinar este efecto beneficioso o perjudicial debemos entender que los procesos de muerte celular son necesarios para el mantenimiento de la homeostasis que favorece la renovación de tejidos. Cuando estos mecanismos no se realizan de la manera adecuada se pueden generar enfermedades neurodegenerativas, autoinmunes o incluso células inmortales denominadas cancerígenas, por lo que entendemos que se trata de un proceso beneficioso para la salud. Se ha podido comprobar con experimentos realizados en ratones que eliminando el ATG7 (gen esencial para el desarrollo de la autofagia) lo animales morían al poco tiempo de nacer (estudio).

El conocimiento actual sobre la muerte celular es bastante limitado, pero recientemente estan surgiendo interesantísimas investigaciones que puede aportar en el futuro mucha información sobre su relación con la salud y longevidad.

2. Tipos de muerte celular

La muerte celular está programada y puede durar desde unos pocos días hasta varios años. Cada día, miles de millones de células mueren y los fagocitos las eliminan rápidamente cuando no hay patologías que lo impidan. Sin embargo, este sistema puede verse comprometido cuando gran cantidad de células mueren a la vez (infección, traumatismo o daño tisular) o incluso cuando están sometidas a situaciones insostenibles en el tiempo (inflamación crónica).

Vamos a ver las tres formas más conocidas de muerte celular (estudio):

Apoptosis:

La muerte es controlada mediante un suicidio celular único propiciado por una acción dirigida por el factor de transcripción p53. Al producirse emite señales de “cómeme” para los fagocitos y parece tener un efecto positivo en células vecinas, promoviendo el aclaramiento, acciones antinflamatorias y proliferación celular.

Necroptosis:

Es una forma más agresiva de muerte celular que ha evolucionado de la apoptosis para detectar patógenos y promover la reparación de tejidos. Se produce con un estimulo externo que supone una fuerte agresión y acaba con la célula. Pero en este caso las consecuencias son altamente inflamatorias y efectos negativos para la salud. Esta forma de muerte celular sirve para asegurar la eliminación de células infectadas por patógenos, toxicidad, en casos de enfermedades neurodegenerativas o para inducir el reclutamiento de células fagocíticas al sitio del daño.

Piroptosis:

En este caso la muerte celular se produce mediante sensores de inflamasoma, que constituyen una fuerte defensa contra patógenos o estrés celular, evitando por ejemplo propagación microbiana. Sin embargo, se puede desencadenar una activación desequilibrada, especialmente relacionada con el NLRP 3 relacionado con una inflamación descontrolada y propiciada por ejemplo por la dieta occidental basada en un exceso de comida procesada.

3. Autofagia

Este concepto es diferente a la muerte celular, pero complementario para conservar la salud y longevidad. Se trata de un proceso de reciclaje de componentes celulares con el fin de conseguir la supervivencia de la célula (estudio).

En el año 2016 se otorga el Premio Nobel de medicina al biólogo japones Yoshinori Ohsumi por descubrir los procesos celulares para mantener los niveles de energía y nutrientes en condiciones de inanición o estrés celular. Este mecanismo sirve a su vez como sistema de control de calidad de orgánulos defectuosos que van surgiendo de manera natural con el envejecimiento.

Dentro de las células existen unos orgánulos denominados lisosomas que se encargan de utilizar componentes extras de la célula, que no son vitales para su funcionamiento. De este modo, pueden considerarse plantas de reciclaje para generar sustratos energéticos o nuevas proteínas. Cuanto más activa sea esta función, mayor será la protección de las consecuencias negativas del envejecimiento.

4. Mitocondrias y dinámica mitocondrial

Las mitocondrias tienen la función de generar energía dentro de la célula y para conseguirlo necesitan optimizar su rendimiento sobre todo en zonas de altísima necesidad energética como las neuronas o miofibrillas del músculo cardiaco. Para conseguirlo tienen mecanismos muy dinámicos que deben permitir mantener este ritmo de flujo constante de energía como la biogénesis mitocondrial (producción de nuevas mitocondrias), procesos de fusión y fisión mitocondrial o mitoptosis.

Fusión:

Es un proceso en el que las mitocondrias unen sus membranas y de este modo se permite una complementación genética. Dos genomas mitocondriales con diferentes defectos dentro del mismo orgánulo pueden codificar cada uno lo que le falta al otro, haciendo que sea una mitocondria completamente funcional y consiga el máximo rendimiento energético para momentos puntuales de alta demanda energética (estudio)

Fisión:

Se trata de una división mitocondrial para ofrecer una red ramificada que puede generar energía en todas las regiones pobres en oxígeno de una célula y además facilita la transmisión de mitocondrias a las células hijas durante la mitosis o meiosis (estudio)

Mitoptosis:

Es un proceso de autofagia especifico de las mitocondrias que puede ocurrir durante la fase de división (fisión) y supone un importante proceso de eliminación selectiva de mitocondrias dentro de una célula.

Cuando una mitocondria es sobreproductora de ROS (radicales libres) o es disfuncional debería sufrir este proceso de suicidio mitocondrial para sacrificarse por el bien del conjunto de la célula (estudio)

Como ya hemos visto en otras entradas, las mitocondrias suponen la base del rendimiento y la salud (mitocondrias el secreto del rendimiento). Tener mitocondrias saludables supone una menor producción de ROS y mayor capacidad de generar energía con menos recursos. Y unas mitocondrias funcionales y estimuladas son la mejor herramienta para la longevidad y la salud metabólica.

5. Como promover la mitoptosis

Las condiciones de estrés celular por falta de nutrientes o de oxígeno, incluso exceso de radicales libres, aumentan los procesos de dinámica mitocondrial y por tanto de autofagia y mitoptosis. De este modo pueden sacrificarse ellas mismas o parte para producir energía y sobrevivir en condiciones adversas (estudio)

Un gran ejemplo para los mamíferos en longevidad es la ballena boreal, superando con facilidad los 200 años y con una resistencia extraordinaria a las enfermedades relacionadas con la edad.

Hace unos años se pudo descifrar el genoma completo de este animal por si daba pistas para que el ser humano aumentara su salud y longevidad (estudio). Pero creo que más que en sus genes, el secreto es su modo de vida y podemos tratar de imitarlo dentro de nuestras posibilidades. Tener pequeños episodios intermitentes de estrés para nuestras células supondrá la base para la longevidad y mantener una buena salud para toda la vida, al igual que hace la ballena boreal.

6. Estímulos intermitentes saludables

En un muy interesante articulo que todos deberíamos leer, se muestran con mucha lógica diferentes estímulos para mejorar la salud y longevidad. Voy a resumirlos en cinco puntos:

Ayuno intermitente:

En otra entrada ya hablamos de la autofagia y de esta herramienta tan sencilla para conseguirlo, la periodización de la nutrición. Por lo que no vamos a detenernos mucho en este aspecto que ya sabemos que aporta muchos beneficios para la salud si lo hacemos de la forma correcta.

Alimentación intermitente y variedad de alimentos:

La baja variedad de nutrientes de las dietas actuales pueden suponer un problema y se asocia con varias patologías (alergias, intolerancias alimenticias, asma, etc.). Las plantas contienen sustancias toxicas naturales para aumentar sus posibilidades de supervivencia que provocan un gran efecto hormético en bajas dosis y beneficiosos en la salud (flavonoides, curcumina, resveratrol, espermidina, etc.). Se ha podido demostrar que una variedad alta de alimentos puede reducir la mortalidad por enfermedad coronaria un 39% y por todas las causas de un 26% (estudio).

Sin embargo, una misma dosis fitoquímica muy continua o incluso en forma de suplemento (excesiva) puede suponer el efecto contrario como ya hemos visto en otra entrada. Bien por exceso de dosis o bien por reducción de beneficios horméticos de otro tipo de sustancias o estímulos importantes. En este ejemplo, se comparó el impacto de un mismo programa de entrenamiento en personas sedentarias con o sin suplementación de 1gr de vitamina C diaria durante 8 semanas. El resultado fue que el grupo sin suplementación tuvo el doble de incremento de VO2max debido posiblemente a la reducción de producción temporal de radicales libres y falta de este tipo de estímulo (estudio).

Frio intermitente:

El estímulo del frio es un recurso muy sencillo de utilizar, pero cada vez lo soportamos menos y utilizamos todos los medios posibles para no sentirlo. También hemos hablado con detalle en otra entrada de los beneficios que aporta.

Calor intermitente:

En esta entrada hablamos de como utilizar el calor de forma intermitente (sauna, baños de calor, etc.) para dar el estimulo adecuado. Incluso hasta el articulo habla de beneficios de pasar sed de ven en cuando.

Hipoxia intermitente:

El oxígeno es esencial para los humanos y tener niveles mas bajos implica graves consecuencias en la salud. Estos niveles bajos medidos con pulsioxímetro muestran los niveles de desaturación que en el ámbito médico pueden suponer el aporte de externo de oxígeno debido a las consecuencias negativas para el organismo de mantener durante tiempo estos niveles.

Sin embargo, la aplicación intermitente de dosis de hipoxia a la desaturación adecuada ha mostrado grandes beneficios en diversas patologías (metabólicas, cardiovasculares, respiratorias, neurológicas, etc.) por el potentísimo efecto de hormesis en todas las células del cuerpo (estudio). Es posiblemente el estímulo que mas afecta a las células.

7. Muerte celular y estímulos intermitentes

Como hemos visto la muerte celular es un proceso natural y necesario para mantener la salud, pero se puede realizar de formas diferentes. Unas beneficiosas para la longevidad y salud como la autofagia, mitoptosis y apoptosis, generadas gracias a una dosis hormética intermitente adecuada.

Y otras que son negativas debido a estímulos excesivos como necroptosis (estimulo demasiado agresivo por un patógeno, tóxico o falta de nutrientes). O piroptosis, en la que principalmente por falta de estímulos (muy común en nuestra sociedad), se generar un medio insostenible para las células a largo plazo, que supondrá un estímulo imposible de soportar (alta producción de ROS, inflamación de bajo grado, etc…)

Vamos a resumir de manera muy coloquial para entender todo mucho mejor.

La Mitoptosis es una forma de asegurar la supervivencia de la célula eliminando las mitocondrias defectuosas que muestran su debilidad en momentos de estrés celular. Vamos a entenderlo como una competición de relevos en la que tenemos a un participante de muy bajo nivel que decide retirarse y entregar sus recursos (geles/barritas) a los compañeros.

La Apotosis supone una muerte en paz y calmada de la célula que puede aportar beneficios a células vecinas por utilizar sus recursos. Podría entenderse como la muerte natural de una persona que dona todos sus órganos para que otros puedan sobrevivir en mejores condiciones.

La Necroptosis podríamos entenderla como un asesinato certero de un grupo de células que supone alta producción de ROS y efectos negativos. El ejemplo puede ser un atentado que supone muertes y destrucción cercana generando un problema para todas las células próximas por tener que utilizar recursos para reconstruir el daño.

La Piroptosis implica encontrarse en un medio agresivo para las células, sería como una muerte anunciada en la que la célula se somete a muchas amenazas de las que no puede huir. Esta muerte puede ser en masa y además el mayor problema es que es a nivel sistémico (no localizado) y seguirán existiendo las amenazas en el resto de las células. Sería algo así como un suicidio colectivo de una secta, pero que además puede extenderse porque todos piensan que esa es la única solución al encontrarse en la misma situación.

8. Resumen

  • El estilo de vida moderna nos ha privado de muchos estímulos necesarios para nuestros genes que favorecen salud y longevidad, por lo que debemos realizar un esfuerzo por incorporarlos de nuevo en nuestros hábitos.
  • La frase “Lo que no te mata te hace más fuerte” ahora tiene una explicación científica. Generar estímulos potentes para nuestras células supone el proceso necesario para conseguir la dosis adecuada de hormesis y por tanto la salud con mitocondrias más funcionales y saludables, preparadas para afrontar cualquier desafío con mayor probabilidad de éxito.
  • Es fundamental el concepto de estímulo intermitente para que realmente sea terapéutico, debemos dar la dosis necesaria de estímulo y dejar que el cuerpo se adapte para que pueda soportar una dosis aún mayor o por lo menos no perder adaptaciones.
  • Nuestros genes tuvieron que soportar durante siglos situaciones de hambre, sed, frio, calor o infecciones. El verdadero problema es dejar de recibir esos estímulos.
  • El concepto de alimentación intermitente me parece muy interesante y poco conocido. Se estima que el homo sapiens ha utilizado una dieta de unas 3.000 especies vegetales distintas y la dieta promedio de los humanos modernos es de tan solo 20 (estudio). Tomar un kiwi todas las mañanas puede ser bueno para la salud durante un tiempo, pero tomar solo esa fruta durante 365 días del año me temo que no va a resultar muy saludable. Consumir gran variedad de alimentos (sobre todo vegetales) y de temporada.
  • La hipoxia intermitente a pesar de ser el estímulo mas potente, quizá pueda parecer lo mas complejo de aplicar, pero tenemos dos buenas opciones para realizarlo:
    • Entrenamiento HIIT, mediante este tipo de estimulo conseguimos una desoxigenación parcial durante un tiempo limitado que ha mostrado grandes beneficios. Puedes ver mas información en esta entrada. El único inconveniente es que entrenar en esta zona es duro.
    • Entrenamientos en hipoxia intermitente con máquina, se puede realizar incluso en condiciones de reposo, siendo el método más cómodo para ofrecer un estímulo muy potente de hormesis. Solo necesitas una máquina de hipoxia (cada vez más económicas) y un poco de conocimiento que puedes obtener fácilmente en nuestro curso (además con descuentos en máquinas por aguantar leyendo hasta el final).

¿Es el VO2max la realidad del rendimiento?

El consumo máximo de oxigeno (VO2max) es posiblemente el marcador más reconocido para determinar el rendimiento de un deportista de resistencia. Yo mismo, como preparador físico de un equipo ciclista de categoría élite-sub23 durante varias temporadas, es algo que he utilizado y testado. Incluso siempre me ha parecido que tiene gran importancia en la selección de corredores de futuro y en el enfoque del entrenamiento.

El VO2max puede ser definido como la capacidad máxima integrada de los sistemas pulmonar, cardiovascular y muscular para captar, transportar y utilizar el O2 (estudio). Es decir, es el límite a partir del cual el organismo ya no puede utilizar más oxígeno, por dos motivos:

  1. Porque nuestro sistema cardiorrespiratorio (pulmones, corazón, vasos sanguíneos o sangre) son incapaces de recogerlo y transportarlo en la cantidad necesaria donde hace falta
  2. Por mucho más que le proporcionemos, nuestras células musculares nos son capaces de utilizarlo.

VO2max Techo fisiológico

En 1922 el fisiólogo Archibald Hill recibió el premio Nobel de medicina por introducir los conceptos de consumo máximo de oxígeno y deuda de oxígeno. Este investigador descubrió que la cantidad de oxígeno consumida por los músculos aumentaba al correr a un ritmo cada vez mayor, hasta que se llegaba un punto máximo que por más ritmo que se impusiera, la musculatura era incapaz de consumir más oxígeno y se alcanzaba la famosa meseta de Vo2max. Pero la gran mayoría de deportistas de nivel bajo o incluso medio al realizar una prueba de esfuerzo no consiguen alcanzarla y entonces denominamos al valor máximo alcanzado VO2pico. Sabiendo que quizá es más elevado a pesar de que se cumplan ciertos requisitos de maximidad.

Sin embargo, deportistas de muy alto nivel son capaces de mantenerla incluso algunos minutos (según Billat hasta se pueden superar los 6min), generando una gran deuda de oxígeno.

VO2max absoluto o relativo

El primer aspecto importante para conocer el verdadero potencial del VO2max es saber si es absoluto o relativo y en este caso la composición corporal juega un papel muy importante.

Vamos a poner un ejemplo, tener un VO2max de 65ml/kg/min puede ser un valor medio para un buen deportista de resistencia. Sin embargo, si sabemos que ese mismo VO2max es para un deportista de 175cm y 75kg con un 18% de porcentaje de grasa tiene mucho más valor que para otro de la misma altura, pero con solo 65kg y menos de un 10% de grasa. El potencial de rendimiento del primero es importante, mientras el segundo se encuentra muy cerca de su mejor resultado posible y será complicado mejorarlo en este sentido.

Deportista 1Deportista 2
VO2max (litros/min)4,884,25
Peso (kg)75,165,2
% grasa corporal18,29,7
VO2max relativo (ml/kg/min)65,165,6

Es algo que ha pasado con muchos deportistas durante su carrera deportiva, con alto VO2max absoluto que poco a poco ha mejorado cada temporada, pasando de ser buenos deportistas a grandes campeones.

vVO2max y economía

Otro aspecto muy importante es saber la intensidad a la que se alcanza el VO2max.

Hay deportistas que tienen un gran nivel de VO2max, pero su rendimiento es peor de los esperado debido a una mala economía de movimiento.

Un buen ejemplo puede ser poner a un maratoniano de elite en una prueba de esfuerzo en bicicleta. Aunque su valor fisiológico sea muy elevado (+80ml/kg/min) no se acercará a la intensidad de ciclistas con valores inferiores a él debido a la especificidad del ejercicio.

Pero incluso entre especialistas encontramos grandes diferencias y para comprobarlo os voy a mostrar la diferencia entre el rendimiento real, valorado por w/kg a intensidad de VO2max y su potencial fisiológico. Podemos comprobar que los dos mejores con valores superiores a los 7,5w/kg no llegan a la media fisiológica del equipo (79,55 ml/kg), sin embargo, en ese momento eran los que mejores resultados obtenían cuando la carretera se ponía cuesta arriba. Por el contrario, encontramos a ciclistas con rendimiento inferior de 7w/kg o incluso menos, pero superando fisiológicamente a la media.

Esto se debe a la economía de pedaleo y también es un factor fundamental en el potencial de rendimiento de un deportista de resistencia.

Por cierto, alguno de esos de no muy alto rendimiento en ese momento, pero gran VO2max absoluto, ahora están compitiendo en categoría profesional. El trabajo de mejora de composición corporal y economía de pedaleo permitía mejorar su nivel, pero en los otros ciclistas ya estaban casi al máximo de su potencial en ambas cualidades

¿Es el VO2max la realidad del máximo potencial?

En el año 2012 la prestigiosa revista British Journal Sports Medicine hizo una arriesgada edición publicando 8 artículos que apoyaban las teorías del reconocido fisiólogo y entrenador Tim Noakes. Según este autor, el VO2max que se obtiene en una prueba de esfuerzo no es máximo, pero no por una limitación fisiológica, sino que el verdadero factor de no llegar a nuestro límite es el cerebro (articulo).

Nuestro cerebro inconsciente o “Gobernador Central” es el que antes de llegar a un fallo fisiológico ordena detener el ejercicio para protegernos de posibles peligros que puedes dañarnos. Podríamos definirlo como un método interno de seguridad para frenar los procesos fisiológicos antes de llegar a traspasar una peligrosa frontera que puede dañarnos.

El hombre es el único animal capaz de morir intentando superar sus límites, como escalar las más altas montañas o bucear lo más profundo posible. Quizá estos miedos o mecanismos de autodefensa, en este caso freno fisiológico, es lo que nos permite tener más probabilidades de sobrevivir.

Pero este límite de seguridad cuando hablamos de ejercicio físico en sujetos sedentarios está muy por debajo del verdadero máximo, mientras que en deportistas muy entrenados mucho más cerca del real esfuerzo máximo.

El feedback constante que recibe nuestro cerebro inconsciente sobre el funcionamiento del cuerpo (reservas de energía, temperatura, estado de hidratación, niveles de oxígeno, etc.) ofrece una determinadas percepciones de esfuerzo. Esta percepción no obliga a ir mas lento y bajar el ritmo, pero si hacen que cada vez sea mas fuerte la necesidad de disminuir la intensidad.


Protocolos diferentes, resultados diferentes

Uno de los estudios publicados en esa edición es especialmente interesante. Fue realizado por el Dr. Beltrami donde simplemente se realizó un protocolo de prueba diferente siendo regresivo en vez de progresivo (estudio) Lo realizaron 26 sujetos y se dividían en 2 grupos haciendo 5 visitas. Unos realizaban siempre una prueba convencional de VO2max incremental (subir 1km/h cada minuto) y otro grupo incluía un experimental protocolo decreciente. En la prueba decreciente se hacía comenzando a una velocidad un punto superior a la alcanzada en la prueba inicial. Y el último día se realizaba como comparativa una prueba de esfuerzo tradicional incremental idéntica a la primera.

Los resultados mostraron que, en la 4º visita, al repetir el test incremental, los resultados fueron idénticos en el grupo control, pero sorprendentemente los resultados del VO2max del grupo de protocolo descendente fueron de media un 4,4% más elevados. Por lo que parece que el protocolo puede hacer que se consiga tener un resultado diferente.

Pero ahora viene lo más sorprendente. Los sujetos del grupo experimental realizaron un prueba de esfuerzo final incremental varios días más tarde y mantuvieron casi los mismos valores de su nuevo máximo casi un 4-5% más elevados. Es decir, aquellos que sabían que podían llegar a un límite más alto consiguieron llegar.

Protocolos con intensidad ajustada a la percepción de esfuerzo

Otro buen ejemplo es esta investigación realizada con 16 sujetos no entrenados comparando resultados de una prueba de esfuerzo convencional de VO2max con una experimental.

La prueba experimental consistía en 5 bloques de 2 min de esfuerzo en los que la intensidad era ajustada de acuerdo con la percepción de esfuerzo solicitada. El protocolo parece sencillo, un esfuerzo de solo 10 minutos y con la intensidad variable en función de lo que siente el deportista.

Curiosamente se consiguieron valores más elevados en la prueba experimental, incluso cuando en la valoración tradicional se conseguía alcanzar una meseta de VO2max. En la imagen podemos ver la comparativa entre las dos pruebas, siendo la primera muy variable y con una cinética más rápida de elevación de VO2 e intensidad variable. También podemos comprobar como en el último tramo se alcanza el valor más alto de VO2max antes de finalizar tras un incremento muy alto de intensidad e incluso un descenso final, mientras en la prueba convencional con intensidad fija sube lentamente.

Los autores piden mayor investigación en los tipos de protocolos para conseguir los mejores resultados en VO2max

A nivel personal y como os dije, siendo preparador durante varios años de un equipo ciclista he tenido la oportunidad de ver y hacer muchas valoraciones de VO2max. En la mayoría de los ciclistas los mejores datos conseguidos en VO2max no han sido con pruebas convencionales, sino en valoración de potencia máxima de 5min (P5). Por lo que estoy de acuerdo en que, si el objetivo es obtener el VO2max, la prueba convencional no parece lo más adecuado, aunque permite obtener otros datos que pueden resultar útiles de cara al entrenamiento.

Cerebro, percepción de esfuerzo y expectativas

Para finalizar vamos a detenernos en otra investigación que no está relacionada con el VO2max, pero me parece muy relevante. En ella participo Tim Noakes y el objetivo principal era valorar los cambios en la percepción subjetiva de esfuerzo (RPE) a una misma intensidad (75% de la velocidad critica o vVO2max).

16 corredores bien entrenados realizaban de forma aleatoria y durante la misma semana tres tipos de pruebas, pero siempre a la misma intensidad:

  • 20 MIN Se les decía que correrían 20min y corrían 20min registrando cada min la RPE, VO2, FC y cadencia
  • 10 MIN Se les decía que correrían 10min, pero al llegar ese momento se les pedía correr 10min mas
  • UN No se les decía tiempo, pero al llegar a los 20min paraban

Los resultados de este estudio son muy interesantes.

  • La prueba 10 MIN fue la que supuso una mayor percepción de esfuerzo, aumentando significativamente a partir del min 10, a pesar de mantener la intensidad constante y ser idéntica a las dos otras pruebas
  • A nivel fisiológico y a pesar de trabajar a la misma intensidad el consumo de oxígeno fue claramente inferior en la prueba UN de duración indeterminada. En la prueba de 10 MIN el VO2 fue más bajo que en la de 20MIN y curiosamente se puede apreciar un descenso a falta de dos minutos.

Al tener el registro de variables psicológicas subjetivas y parámetros fisiológicos de tres pruebas idénticas de 20min a la misma intensidad, la única explicación para estos datos es que la primera carrera no correspondía a las expectativas y resulto claramente más exigente.

El descenso de VO2 en los últimos minutos de 10 MIN también supone un dato muy curioso, ya que parece que el cerebro prepara al cuerpo ante un posible incremento de la duración de la prueba. Y algo parecido pasa desde el inicio de la prueba UN con un constante ahorro energético al no conocer la duración real de la prueba.

Resumen

  • Antes de decidir el nivel definitivo de un deportista de resistencia, debemos comprobar mejoras potenciales. Una de ellas es fundamental, la composición corporal. Un alto VO2max absoluto y peso elevado puede suponer un gran incremento de rendimiento de futuro
  • Una mala economía de carrera o de pedaleo también puede suponer un potencial de mejora importante con el trabajo adecuado para conseguir un deportista más eficiente.
  • La teoría “descabellada” hasta hace unos años del Gobernador Central de Tim Noakes, cada vez parece más clara y evidente y posiblemente suponga uno de los mayores aspectos de mejora del rendimiento deportivo para deportistas en el futuro cercano.
  • Saber que puedes hacerlo implica tener mas posibilidades de conseguirlo y quizá superar esa barrera mental que supone el “gobernador central”. Un ejemplo muy demostrativo de romper ese muro psicológico es el “efecto Bannister”
  • El VO2max es nuestro supuesto techo fisiológico, pero como hemos podido ver en estos ejemplos quizá con un entrenamiento mental adecuado, otro tipo de protocolo y experiencia en diferentes pruebas o esfuerzos máximos podríamos superarlo y ser capaces de transportar más oxigeno o soportar mejor la desoxigenación de nuestros músculos.
  • Si queremos mejorar nuestro VO2max un aspecto principal es mejorar nuestras mitocondrias como vimos en otra entrada, pero el entrenamiento mental puede hacer mejorar de forma más rápida y sencilla que el entrenamiento físico, como demuestra este estudio. En solo 2 semanas el grupo experimental tuvo instrucciones sobre cómo realizar técnicas auto-motivacionales durante el esfuerzo y consiguió un amento del tiempo en esfuerzo de un 18% respecto al grupo control.
  • La forma en la que percibimos el esfuerzo puede significar diferencias significativas en poder ofrecer casi todo nuestro potencial fisiológico y acercarnos más o menos a ese límite. He conocido a deportistas muy buenos en competición, pero con malos resultados en laboratorio. El diseño individualizado de una prueba para determinar el VO2max puede ser necesario para conseguir resultados reales

Entrenamiento en calor para mejorar el rendimiento

En el número 97 de la revista Sportraining Marcos Celada y yo, publicamos un artículo muy interesante sobre los aspectos teóricos y prácticos para realizar una mejora del rendimiento utilizando el calor.

Curiosamente la gran mayoría de deportistas de resistencia consiguen sus mejores resultados durante meses calurosos y tiene una explicación fisiológica que puedes aprovechar desde los meses previos . Conoce todo lo necesario para utilizar de forma correcta un método de entrenamiento con muchos beneficios para el rendimiento deportivo, pero aún muy desconocido